مــدخـل لمبادئ الدفـع الصــاروخي و الميكـانيكيـا الفضائيـة

Ibn zyad

خـــــبراء المنتـــــدى
إنضم
24 فبراير 2008
المشاركات
2,505
التفاعل
12,480 83 0
الدولة
Morocco
بـسم الله الرحــمن الرحـيم
لمحـة تـاريخية :

كان الصينيون القدماء أول من اكتشف البارود و خصائصه المميزة و كانوا يستغلونه في إطلاق الألعاب النارية منذ القرن التاسع للميلاد ، و كانوا و بعدهم الهنود و العرب من اول من استخدم صواريخ بدائية في حروبهم عبر اطلاق رماح مدفوعة بمسحوق البارود ، و كانت في جيوشهم وحدات خاصة لإطلاق الرماح الصاروخية ،و سجل استخدامها الأبرز في معركة كاي كينغ 1232 م ،حيث انتصر الصينيون على المغـول نتيجة براعتهم في استخدام صواريخ بدائية كانت تسمى "رمـاح النار".. أما في أوروبا فكان للمسلمين في الاندلس و المغرب الاقصى سبق استخدام البارود و مركبات أخرى في حروبهم خصوصا في المدافع فقد سجل ذكره في مخطوطات اندلسية منذ القرن 10 ، كما جرى استعمال المدافع في حصار سجلماسة على يد سلطان المغرب ابي يوسف يعقوب المريني عام 1273 م .. و قد تأثرت بهم شعوب اوروبا الأخرى، فقد استخدم الفرنسيون الرماح النارية في القرن الـ 15 مع جيش جان دارك ضد الأنجليز في معركة اورليانز ، و في حروب نابليون ضد مقاطعة بولونيا الايطالية 1806 سجل إطلاق 200 صاروخ بدائيا برأس متفجر أدت لاحتراق عدة منازل ...
لكن مع تطور المدافع المحلزنة و دقتها العالية و قوتها التدميرية الأكبر ، جرى تهميش سلاح المقذوفات الصاروخية في الجيوش الغربية آنذاك ،فقد كانت مقذوفات بدائية من دون توجيه و بمدى صغير جدا و قوة تدميرية صغيرة، مع ذلك فهذا لم يمنع البعض من الهوس بدراسة و ابتكار أساليب جديدة و إعطاء معادلات رياضية دقيقة تحكم مفاهيم الدفع الصاروخية ، سواء نظريا أو عملياتيا ، و كــان منهم العالم الروسي كوسطانيتين تسيولكوفسكي الذي يعد من الرواد الأوائل في وضع الأسس النظرية لعلوم الصـواريـخ ، و اليه يعود الفضل في تطور أنظمة الدفع الصاروخية و الفضائية ، فقد تخيل في كتابه "الفضاء الحر" الذي نشر في 1883 رحلات صاروخية الى القمر ، مستندا الى نجاحه في إعطائنا النظرية الأساسية للدفع الصاروخي و التي تسمى لحد الآن باسمه : "معـادلة تسيولكوفسكي"
في بداية القرن العشرين ظهر العديد من العلماء المهتمين بتطوير المشاريع الصاروخية في عدة دول غربية ، من ضمنهم الفرنسي روبيرت بيلتيري و الأمريكي روبيرت غودارد الذي كان له الفضل في البدايات العملية لتطوير الصواريخ تماشيا مع الأسس العلمية و الفيزيائية الحديثة في منتصف عشرينيات القرن العشرين ، لكن في ألمانيا كان الاهتمام الأكبر بالصواريخ ففي ثلاثينيات القرن العشرين ظهر هوس كبير بالصواريخ لدى الألمان مدفوعا بالقرار السياسي و العسكري للقيادة الألمانية ، فكانت أبحاث العالم الألماني هيرمان اوبيرث و فيـرنـر فـون بـراون قاعدة أولى لما سيأتي من صواريخ V1 و V2 الشهـيرة ...

في الاتحاد السوفياتي أضحت أبحاث تسيولكوفسكي مبعث اهتمام كبير في اوساط الطبقة العلمية السوفياتية عكس ما كان عليه من تهميش في العهد القيصري ، و من الرواد السوفييت : المهندسان تساندير و ستيتشكين اللذان نجحا في تصميم محركات دفع صاروخي بدعم حكومي من مؤسسة المواصلات الفضائية التي أنشأت منذ 1924 …


المبادئ العلمية و التقنية الأساسية للدفع الصاروخي :


"لكل فعل رد فعل مساو في الشدة و معاكس في المنحى " .. إنه ببساطة قانون نيوتــن الثالث للحركة ، و ما يجري للصواريخ يعتمد أساسا على هذا المبدأ، فلنتخيل علبة مغلقة بإحكام و وسطها ننتج انفجارا صغيرا يمكن لجدرانها الداخلية تحمله دون ان تنفجر ... الانفجار يتبعه موجة ضغط صغيرة تصطدم بالجدران الداخلية للعلبة ... لكن العلبة لن تتحرك لأن مقدار الضغط عند كل جانب يكون مساويا للضغط في الجانب المقابل .. بعدها نحدث ثقبا في أحد الجوانب ، الذي سيحدث عندئذ أن مقدارا من الهواء المضغوط سيخرج من العلبة و بالتالي فإن جدار الجانب الذي فيه ثقب سيستقبل ضغطا أقل من الجانب المقابل ، ما سينتج عنده حركة للعلبة في منحى الجدار المقابل للثقب ...


و منـه فإنه من البديهي أن الصاروخ و القوة الدافعة له ستكون متعلقةبكمية الهواء الخارج و سرعة خروجه من عادم المحرك الدافع ... و هو ما يتوافق مع مبدأ انحفاظ كمية الحركة :


m(t).dv= dm.Ve


m(t) كتلة الصاروخ في اللحظة t ،
dm كتلة الوقود المحترق خلال زمن متناه الصغر dt ،
dv تغيـرسرعة الصاروخ خلال لحظة dt
Ve سرعـة الهواء الخارج من المحرك



المعادلة هنا تصف التوافق بين تغير سرعة الصاروخ و تغير كتلته و سرعة نفث الهواء المحترق ، إنها بداية معادلــة تسيولكوفسكي الأسـاسية ...
فالـقوة المتولدة عن ذلك يمكن كتابتها على شكل اشتقاق زمني لكمية الحركة كــالآتي

F = dP/dt = (dm/dt )* V

حيث كمية الحركة تساوي P = m.V

في الظروف الواقعية تكون الصيغة الاجمالية لقوة الدفع المتولدة كما يلي :
F = dm/dt * Ve + As* (Ps - Pext)

As مسـاحة قاعدة الـ Nozzle الخارجيـة
Ps - Pext الفرق بين الضغط داخل عادم المحرك Nozzle و الضغط الخارجي ..

و بالرجوع الى مبدأ انحفاظ الحـركة نجد أن التغير في سرعة الصاروخ بين اللحظة البدئية و النهائية هو بحساب التكامل على الشكل الآتي :

images


Ve سرعة نفث الغاز المحترق ، m0 الكتلة الإجمالية الأولية ، mf الكتلة الإجمالية النهائية .
ln دالة اللوغاريتم النيبيري

المعادلة هنا تخص الصاروخ في الوضع المعزول عن أي قوة عدا قوة دفعه الخاصة (حالة الدفع في الفضاء الخارجي) ، لكن مع الإطلاق الأرضي يكون على الصاروخ الوصول الى قوة دفع أكبر ، تفرضها عليه الجاذبية الأرضية و الغلاف الجوي الأرضي ، فبوجود قوة الجذب الأرضي ، تكتب المعادلة على الشكل التالي:
bc40eea0b1a0e04cbf2d4d5c67febb43.png

حيث g0 هي تسارع الجاذبية عند سطح الأرض (9.81 م\ث 2) : ( التعبير هنا مبسط لأن تسارع الثقالة يتغير مع الارتفاع و مع تغير خط العرض).. و T زمن التسلق الرأسي للصاروخ .. لكن في الواقع فان خسارة السرعة تقل تدريجيا مع الارتفاع لأن تسارع الجاذبية يقل ولو بشكل ضئيل كلما ابتعدنا عن الأرض و كذا فإن تأثير الغلاف الجوي يكاد ينعدم عند 100 كلم من سطح الأرض و منه يتضح أن السرعة الفعلية التي يصلها صاروخ مطلق من الأرض هي أقل من السرعة التي كان بإمكانه وصولها في حالة معزولة عن القوى الخارجية .. فالصاروخ يخسر حوالي 1 الى 1.5 كلم \ث نتيجة الاحتكاكات.. و بالنسبة لصاروخ معد لإطلاق قمر في مدار بارتفاع 200 كلم و يستغرق 240 ث للوصول الى المدار .. فإن السرعة التي يجب على محركه العمل على توفيرها ليضع قمرا بسرعة فعلية 8 كلم \ث هي :

8 +1+2.35 = 11.35km/s

معــامل الدفـع الخاص Isp
الـ Isp معامل فيزيــائي مهم يعطينا فكرة حول أداء المحرك الصاروخي و الوقود المستعمل و هو معبر عنه بالثواني و حسب المعـادلة التاليـة :

Isp = F/ q*g0
حيـث F قوة دفع المحرك بالـنيوتن ، q هنا تشــير الى الصبيب الكتلي q= dm/dt
و g0 تمثل تسـارع الثقالة عند سطح الأرض

الـ Isp يمثل في الواقع المدة اللازمة ل 1 كلغ من المادة الدافعة لاعطائنا 1 كلغ قوة أو 9,81 نيوتن ، حيث أنه كلما ارتفع الـ Isp لمحرك معين كان اكثر مردودية و أفضل من ناحية الاستهلاك فعند قوة دفع ثابتة لمجموعة من المحركات بـIsp مختلف ، ازدياد هذا الاخير من محرك A لاخر B مثلا، يعني بالضرورة ان q تنخفض .. أي أننا لن نكون بحاجة الى صبيب كتلي كبير للمحرك B مقارنة بـ A للحصول على نفس القوة F
كما أن Isp تحدده عدة عوامل منها أساسا نوعية الوقود المستخدم ثم تصميم المحرك و الضغط المتولد داخله حيث يستطيع العامل الأخير التاثير بنسبة 10 الى 15 % من Isp الخاص بالمحـرك

وقــود و محركات الدفـع الصاروخــي

محركات الوقــود الصلــب :

400px-SolidRocketMotor-fr.svg.png

محركات الدفع بالوقود الصلب تحتوي على وقود مركــب على شكل بودرة ممزوجة بمادة رابطة تعطيها طبيعتها الصلبة و شكلها الملائم ونجدها على شكل بوليمير قابل للاشتعال كعـديدات و مشتقات البيوتادين و الأكريلونيتريل ، و يكون الخليط محتويا على نسب عالية من مؤكسد احتراق صلب ، عـادة ما يكون على شكل بيركلورات أو نيترات و هي مواد مشبعة بالأوكسيجين ، اضافة الى مختزل عادة ما يكون معدنيا كـالالومينيوم و الكبريت و المنغنيزيوم و غيره ..
من أنواع الوقود الصـلب الاكثر شيوعـا للمهمات الفضائية وللصواريخ البالستية العاملة على الوقود الصلب و حتى بعض الصواريخ التكتيكية و صواريخ جو-جو : الوقود المركب لبركلورات الامونيوم APCP و الذي يستخدم في SRB لدفع المكوك الفضائي الامريكي و ايضا في معززات Vulcan للصاروخ الاوروبي Ariane 5 ، يتالف هذا الوقود المركب من نسبة 60-70 % من بيركلورات الأمونيوم NH4ClO4 ، و حوالي 15 - 20 % من الألومينيوم ، و النسبة المتبقية من مادة PBHT poly butadiene hydroxytelechelic الرابطـة يصلIsp لهذا الخليط الى 270 ثانية في الفراغ، كما يمكن اضافة نسبة مدروسة من متفجرات RDX و HMX للوصول بالخليط الى Isp يقـارب 300 ثانية .. تضاف أيضا محفزات للتفاعل بمقدار 0.2 - 0.4 % من اوكسيد الحديد Fe2O3 غالبا او ثنائي اوكسيد المنغنيز MnO2 او حتى ديكرومات النحاس CuCr2O7 ..

أنــواع اخرى من الوقود الصلب استخدمت و لا تزال كخليط نيترات الأمونيوم مع مزيج من المواد النفطية و الالومينيوم ANCP الذي يبلغ Isp 210 ثانية .. و بيركلورات البوتاسيوم KClO4 و الأسفالت كوقود و مادة رابطة ..

الوقود ثنائي القاعدة النيتروسيليلوز/ النيتروكليسيرين يعطي Isp بقيمة قد تصل احيانا الى 225 ثانية ، و منـه مركبات دافعة لقذائف المدفعية مثل الكورديت و البالستيت ، و ايضا مركبات لبعض الصواريخ التكتيكية و الصواريخ المضادة للدروع..

الصواريخ التجريبية او صواريخ الهواة لها طيف واسع من انواع الوقود الرخيص و المتوفر بسهولة كالبارود ( نيترات البوتاسيوم + الكبريت و الفحم) بـ Isp ضعيف يصل الى 80 ثانية ، و الوقود السكري المكون من نيترات البوتاسيوم كمؤكسد و وقود من الساكاروز او الكلوكوز و يعطي Isp يصل الى 130 ثانية.. اضافة الى نيترات الأمونيوم/ السوربيتول بـ Isp يقارب 200 ثانية ..

يتألف المحرك بشكل مبسط من غلاف خارجي يضم المكونات الاساسية للدفع و عادة ما يكون مصنوعا من الفولاذ أو من ألياف الكربون و التيتانيـوم لتحمل الضغوط العالية الداخلية الناتجة عن احتراق الوقود الصلب ، داخل الصاروخ نجد المادة المتفاعلة(مؤكسدات و مختزلات التفاعل) مجوفة داخليا ، ذلك التجويف يمثل غرفة الاحتراق .. في اعلى غرفة الاحتراق نجد موقدات التفاعل و في الأسفل عادم الصاروخ (nozzle) حيث تكون مصممة بشكل دقيق لزيادة سرعــة نفث المتفاعلات و بالتالي الوصول بالصاروخ الى سرعات أكبر ..

محركات الدفع بالوقود الصلـب تعطي دفــعا كبيرا في وقت قصير.. كما ان تكاليف تصميم و بناء محركات الوقود الصلب أقل ، و وقودها قابل للتخزين غالبا في الظروف العادية للحرارة و الضغط و لـوقت طويل ما يجعلها الخيار الأول لصواريخ الميدان عالية السرعـة و أيضا لمعززات الدفع للصواريخ الفضائية .. إلا أن Isp الخاص بها ضعيف مقارنة بمحركات الوقود السائل ما يعني أن دفعها لا يكون مستمرا لفترات طويلة و غير مناسب للمهمات الفضائية المتطلبة لفترات دفع اطول ..

هندســة غرفة الاحتراق :

تمثل غرفة الاحتراق و شكلها عاملا أساسيا في مميزات دفع الصاروخ حيث أن احتراق المادة الدافعة يتم على سطح تجويف غرفة الاحتراق و الذي يكبر حجمه مع استنفاذ المادة المتفاعلة ..السبب الرئيسي هو في اختلاف مساحة التفاعل بين شكل و آخر و بالتالي اختلاف في تغير كتلة المادة المتفاعلة مع الزمن الشيئ الذي يعني اختلافا في مستويات الدفع .. و تعبر عنه المعادلة التالية :

dm/dt = ρ.As .br

As مساحة الوقود المحترق في اللحظة t
ρ الكتلة الحجمية للوقود
br و هي سرعة الاحتراق أو burn rate بالانجليزية

هنــاك عدة أشكال لتجاويف غرفة الاحتراق و الأكثر استخداما هي الآتية :

التجويف الاسطواني التماثلي : هو النمط الهندسي الأقل تعقيدا لكنه يعطينا نمط دفع تصاعدي ثم ما يلبث ان يتناقص مع الزمن .. كما انـه غالبا لا تتم المحافظة على الشكل الأسطواني في غضون الاحتراق ما يعطي دفعا غير ثابت ..

تجويـف C-Slot : حيث يتم وضع التجويف في طرف غرفة الاحتراق ما يعني ان الاحتراق لا يكون تماثليا ، ينجم عن هذا النمط دفع تصاعدي ثم تنازلي ، لكن تغير قيم منحنى الدفع تكون أبطأ .. ما ينجم عنه دفع قوي لمدة أطول لكن في المقابل يعطي هذا النمط الهندسي مشاكل في الاستقرار الحراري و تغيرا في مركز ثقل الصاروخ ناجم عن عدم التماثل ..

التجويـف النجمـي : يعتبر هو و مشتقاته النمط الهندسي الأكثر استخداما في غرف احتراق الصواريخ الحديثة ، و يكون عبارة عن نجمة بـ 5 الى 8 رؤوس عادة و الهدف من هذا الشكل هو توفير مساحة اكبر للاحتراق ما ينعكس ايجابا على منحنى الدفع فننتقل بعد أجزاء من الثانية من تصاعد سريع للدفع الى استقرار في قيمة الدفع لمـدة طويلة من الزمن ..

معـززات الصاروخ الفضائي Ariane 5 و كذا الـ Space Shuttle الأمريكي تستخدم أنماطا مركبة عبر Blocks ففي البلوك الاعلى نجد تجويفا نجميا سداسيا يحترق أولا عند تشغيل الصاروخ مانحا اياه قيمة دفع كبيرة ثابتة لمدة طويلة .. ثم البلوك الاوسط يتألف من تجويف اسطواني ثم نجد تجويفا مخروطيا في البلوك الاخير الذي يشتعل في المرحلة الاخيرة من الدفع الصلب حيث يتخلص بعدها الصاروخ من معززاته ليبقـى معتمدا بعدها على محركاته العاملة على الوقود السائل ..

مكونات المحـرك الصاروخي بالوقود السائل

بالنسبة للصواريخ العاملة على الوقود السائل فإن عدة محرك الصاروخ تكون مؤلفة من عدة مكونات أساسية من أهمها :

capture013.jpg


خزانات الوقود : و التي يتم فيها تخزين المادة المحترقة و كذا غالبا المادة المؤكسدة و اللتين تشكلان أغلب كتلة الصـاروخ ، و هي غرف تخزين يتم ضبطها على درجات حرارة و ضغط معينة ، و يراعى فيها مخاطر التسرب و تحمل الصدمات و كذا الكتلة الصغيرة للخزانات ما يستوجب صناعتها من مواد تجمع بين الخفة و التحمل .. و عادة ما تتكون من الألومينيوم و ألياف الكربون .. و تكون موصولة بأنابيب ضخ تصل الوقود الصاروخي بمضخات في محرك الصاروخ .
مضخات الوقود : و هي مضخات تقوم بضخ الوقود و المؤكسد الى غرفة الاحتراق و كذا ضخ الوقود السائل في جدار غرفة الاحتراق بغية تبريدها و خفض حرارتها الشديدة الارتفاع ..

غرفة الاحتراق : فيها يلتقي الوقود بالمؤكسد و قد تحتوي على أجهزة لبدء الاشتعال و قد لا تحتوي حسب طبيعة الوقود المستخدم ، و هناك يحدث الاحتراق الذي يعطي ضغطا و حرارة شديدين و يتم نفث الهواء المضغوط و الساخن الى الخارج عبر عادم المحرك Nozzle و الذي يكون بدوره مصمما على شكل مخروط تتباعد جدرانه من غرفة الاحتراق الى الخارج .. و ذلك في سبيل زيادة الضغط المعاكس المتولد عكس منحى نفث الغاز ...

وقــود الدفــع الصاروخي

من خلال المعادلة أعلاه يتبين الحاجـة الى زيادة سرعة نفث المتفاعلات من محرك الصاروخ إذا أردنا أن يحصل هذا الأخير على سرعة نهائية كبيرة ، و لفعل ذلك وجب البحث و تطوير مركبات كيميائية أكثر فاعلية و أكثر أمانا ، فنرى مثلا أن البترول العادي يحترق مع الهواء بـحرارة 2300 درجة مئوية و بسرعة 2000 م\ث ، و مع ثنائي الأوكسيجين بــ 3000 درجة مئوية و بسرعة 2500 م\ث ، أما بالنسبة لاحتراق الهيدروجين مع الفليور فيولد سرعة الاحتراق تصل إلى ما يقارب 4600 م\ث و بحرارة متطرفة قد تصل الى 3600 درجة ..

و بالتالي فإنه كلما زادت سرعة النفث المنشودة ، زادت معها حرارة التفاعل ، الأمر الذي يجعلنا نواجه مشاكل كبيرة أخرى من أبرزها صمود و قوة هيكل المحرك ، و وجوب تبريده باستمرار، فالحديد يذوب عند 1400 درجة و الكروم عند 1800 درجة .. أما المعادن الأكثر تحملا كـالتانغستن و التيتانيوم فتذوب عند حدود 3200 درجة ..هذه المعضلة كانت أكبر المشاكل التقنية التي واجهتها الصواريخ الأولى مثل الـ V 2 و المشتقات الفضائية الأولى للـ R-7 Semyorka رغم أن سرعة نفث محركها لا تتجاوز 2600 م\ث

فالصواريخ العاملة على الوقود السائل هي الخيار الأول لتسيير الرحلات الفضائية الصاروخية فرغم كونه أكثر خطرا و تكلفة إلا أن السرعات التي يصلها و استمرارية دفعه عالية جدا مقارنة بالوقود الصلب ، كما ان دفعه متحكم به فيكفي ايقاف ضخ المواد المتفاعلة الى غرفة الاحتراق لايقاف الدفع و هذا أمر مهم لمحركات المناورات المدارية و الهبوط و الاقلاع من فوق أجرام فضائية اخرى .. فهناك عدة خيارات ممتازة من المركبات .. نذكر منها :

انواع الوقود الازوتي القابل للتخزين لفترات طويلة :

N2O4 / UMDH بيروكسيد الآزوت و ديميثيل الهيدرازين ، له ميزة إمكانية تخزينه في ظروف حرارة و ضغط عاديين و كذا أن هذا الزوج يحترق بالتماس بين مكوناته Hypergolic.. بيروكسيد الازوت يكون ممزوجا مع نسبة ضئيلة من مونوكسيد الأزوت لتفادي مشكل التآكل الذي يسببه في طبقات التيتانيوم المتواجد في هيكل غرفة الاحتراق ، كما أن الـ UMDH مادة سامة جدا و مسرطنة ، بدأ استعماله منذ الستينات في صواريخ Diamant لبرنامج الفضاء الفرنسي ، يستخدم عادة في عمليات الاقلاع الارضية و المراحل الاولى لصواريخ مثل Proton M الروسي و Arian 1/2 الاوروبيان ، يسمح هذا النوع من الوقود بالعمل على محركات اقل تعقيدا و كلفة كما ان تبريد المحرك يتم عبر فرش طبقة متجددة من الوقود على جدران غرفة الاحتراق .. Isp يصل عادة بين 310 – 320 ثانية

Aerozine 50 هو خليط من 50 % من الهيدرازين N2H4 و 50 % من UMDH مع بيروكسيد الازوت ظهر منذ الخمسينات كوقود للصواريخ البالستية Titan 2 ، كما كان مستخدما لمحركات الهبوط و الاقلاع على القمر لرحلات Apollo ، حاليا مستخدمة على محرك المرحلة الثانية من صواريخ دلتا 2 الامريكية بـ Isp يقارب 320 ثانية ..
MMH او مونوميثيل الهيدرازين ممتاز لمهمات التوجيه و تصحيح المسار للمسابير و الاقمار الصناعية في المدارات لاستقراره و فترات خزنه الاطول ، يستخدم مع مؤكسد MON-x و هو خليط من x % من بيروكسيد الازوت و 100- x% من مونوكسيد الازوت ( عادة x بين 1 و 5 ) ..

يمكن للهيدرازين العمل كوقود وحيد كما الحال في العديد من محركات الهبوط فوق الكواكب و تعديل المدار للمسابير و الأقمار الصناعية عبر اضافة محفزات للتفاعل كنيتريد الموليبدن او الايريديوم ما يساهم في تفكك الهيدرازين و انتاج كثيف لغازي الازوت و ثنائي الهيدروجين في عملية كيميائية بطاقة حرارية عالية ، محركات الهيدرازين تصل عادة الى ما فوق 200 ثانية Isp

أنواع الوقود العاملة على ازواج احتراق محفوظة في درجات متدنية Cryogenic اكثر فاعلية و عادة ما يكون الاوكسيجين السائل المؤكسد الاساسي فيها إلا انها تستلزم نظام دفع أعلى كلفة و أعقد تقنيا ..

LOX/ RP1 : RP1 Rocket Propellant 1 و هو نوع خاص عالي التكرير من الكيروسين اضافةللأوكسيجين السائل المحفوظ في حرارة منخفضة تقارب -183 درجة مئوية Cryogenic، و هو أكثر فاعلية و أقل تلويثا من الوقود الازوتي .. و يستعمل بشكل واسع في مراحل دفع صواريخ Soyuz FG الروسية و صواريخ Zenit الاوكرانو- سوفياتية و كذا صواريخ Delta 3 الامريكية و غيرها ، مشتق روسي اخر أكثر كثافة يسمى RG-1 يستعمل على محركات RD-108 للمرحلة الاولى لصواريخ Soyuz 2 .. LOX/RP-1 يعطي قيم Isp بين 270 و 350 ثانية في الفراغ كما انه اكثر سهولة في التخزين و التعامل ومتطلبات تصميم المحركات من الهيدروجين السائل ..

H2/O2 هذا الزوج من الأكثر فاعلية و الذي يمكن استبدال ثنائي الأوكسيجين فيه بالفليور.. فرغم كون المكونين معا في الحالة السائلة ( الهيدروجين عند -253 مئوية و الاوكسيجين -183 ) ما يطرح مشاكل تقنية لحفظ الوقود بالإضافة الى الكثافة المنخفضة للهيدروجين السائل ما يجعل خزانات الوقود تمتلأ بسرعة، إلا أنه الأقل تلويثا فتفاعلهما ينتج عنه الماء فقط ، و احتراق الهيدروجين السائل في الاوكسجين السائل يولد طاقة اعلى في كل وحدة كتلة ..احتراقهما يولد قوة دفع عالية جدا و حفضهما في الحالة السائلة في حرارة منخفضة مكن المهندسين و العلماء من التغلب على مشكل الحرارة العالية في هيكل المحرك ... فتصميم المحرك يحتوي على انابيب صغيرة على جداره بحيث يضخ الوقود السائل فيه باستمرار لانجاز مهمتين ، أولا يتم تبريد حرارة المحرك قدر الإمكان ، ثم يتجه الوقود عبر الأنابيب ليحترق في أعلى غرفة الاحتراق في ما يسمى بالدارة المغلقة ... و هو مستعمل سواء في المكوك الفضائي الأمريكي(Space Shuttle) أو الصاروخ الاوروبي Ariane 5و تعتبر تقنية الدارة المغلقة من الأفكار الفذة للعـالم الألماني فيرنر فـون براون في بداية الأربعينيات .. كفاءة محركات LOX/LH2 تصل الى 412 ثانية Isp للأمريكي RS-68 و 3100 كيلونيوتن ، محرك المرحلة الاولى لصاروخ Delta 4 .. و 452 ثانية للياباني LE-5 محرك المرحلة الثانية للصاروخ H-2 الياباني من انتاج ميتسوبيشي للصناعات الثقيلة ..

الصــاروخ متعدد المراحل : فكرة لامعة

لوضع قمر صناعي على علو 200 كلم مثلا ينبغي الوصول الى سرعة فعلية تصل الى حوالي 8 كلم/ ثانية و على مدار 2000 كلم ينبغي توفير 6.9 كلم/ ثانية ليبقى القمر في مداره حول الارض و تلك سرعات كبيرة جدا لا يمكن وصولها حتى مع أقوى أنواع الوقود في حال صاروخ احادي الطبقات ..

لاعطاء مثال بسيط على ذلك لنتخيل صاروخا كتلة هيكله وأنظمته + كتلة شحنته المراد وضعها في المدار تساوي 600 كلغ و يحمل 3 أطنان من الوقود بسرعة نفث تساوي 3 كلم / ثانية .. معادلة تسيولكوفسكي و مع اهمال تاثير الغلاف الجوي و الثقالة نجد ان DV= 3*ln(3600/600)= 5,3 km/s .. أي ان مع اكثر انواع الوقود سرعة فان مثل هذا الصاروخ لن يوفر لنا سرعة كافية للاستقمار ..

عكس هـذا ،لو فرقنا الكتلة الاجمالية للصاروخ بشكل متساو على 3 مستويات قابلة للفصل مثلا و وزعنا كمية الوقود عليها بالتساوي أيضا ، (اي طن وقود لكل مستوى) فان الامر يختلف ، بحساب بسيط سنجد أن تغير سرعة المستوى الأول DV1= 3*ln(3600/2600)=1,4 km/s
سيتم فصل المستوى الفارغ و ستبدأ المرحلة الثانية من الدفع

DV2= 3*ln(2400/1400)=2.1 km/s

في حين ان المرحلة الثالثة و الاخيرة ستعطي الآتي :

DV 3 = 3*ln(1200/200)=4,8 km/s

و بالتالي التغير الكلي للسرعة سيكون بجمع السرعات في المستويات الثلاثة

DV = 1,4+2,1+4,8 = 8,3 km/s


الفكرة بشكل عام هي تغيير العامل الثاني في المعادلة و هو معامل الكتل البدئية و النهائية و هو ما يتم فعليا في الصواريخ الفضائية و الصواريخ العابرة للقارات لكن بشكل اكثر تعقيدا فعادة تكون المرحلة الأولى الأثقل في جسم الصاروخ و التي تحمل اكبر كمية من الوقود و أكثر عدد من محركات الدفع و المعززات الصاروخية و ذلك لأنها المرحلة التي تشهد أكبر قوى معاكسة للدفع الصاروخي من ناحية كثافة الغلاف الجوي و تأثير الثقالة ، بينما تكون المرحلة الاخيرة و التي تتكلف بالاستقمار المباشر اصغر لأن الشحنة تكون في وضع شبه معزول عن الاحتكاكات بفضل انعدام الغلاف الجوي..


قوانين كيبــلر و سرعات الاستقمار :


قوانين كيبلــر الثلاثة و المنسـوبة لعالم الفلك الألماني يــوهانس كيـبلـر هي القوانين التي تصف حركة الكواكب حول الشمس و بصفة عامة فهي صالحة لكل جسم في مدار حول جرم فلكي ..و تعتبر قواعد اساسية لا بديل عنها في فهم خصائص المدارات للاقمار الصناعية و الأجرام الأخرىلذلك وجب ذكرها أو التذكير بها ولو بشكل مقتضب قبل التوغل أكثر في الموضوع.. تم نشر القوانين عامي 1609 و 1618 .. و كانت نواة ابحاث نيوتن حول قوى التجاذب الكوني و قانونها الشهير الذي نشر عام 1687 ..


قانون كيبلـر الأول :


تتخذ الكواكب مدارات اهليلجية حيث تكون الشمس مركز احدى بؤرتي الاهليلج

قانون كيبلر II
loi-des-aires.png


القانون الثاني او قانون المساحات فبأخذ الشمس في احدى البؤرتين و في نفس المدة Dt فان المساحة المحصورة بين القوس P1P2 و بؤرة الاهليلج تعادل المساحة المحصورة بين القوس P3P4و البؤرة التي هي الشمس بالنسبة للنظام الشمسي .. تفسير انحفاظ المساحات هو ان سرعة الكوكب تتغير حسب قربه من الشمس ، فالكواكب تزيد سرعتها باقترابها من الشمس و تنخفض عند ابتعادها عن البؤرة (الشمس)

قانون كيبلر III

و هو قانون تناسب بين مربع الدور المداري و مكعب طول المحور الأكبر للاهليلجو يعبر عنه كالتالي :

a^3 = k.(T/2π)^2


حيث a طول نصف المحور الأكبر للاهليلج ، T الدور المداري و هو الوقت اللازم للكوكب للرجوع الى نفس النقطة من المدار ، k ثابتة تتعلق بالشمس أو بالجرم الذي يتم حوله الدوران عموما ..

نستمر بالمعطيات التالية :

m كتلة الجسم ،Mكتلة الجرم ، D المسافة بين مركزي ثقلهما و V سرعة دوران الجسم
جسم في حالة دوران دائري منتظم حول جرم معين في معلم غاليلي (معزول نظريا) يعني أن هناك توازنا في القوى المؤثرة عليه و بالتالي فمجموع متجهاتها يساوي صفرا ، في هذه الحالة هناك قوتين فقط ، أولاها قوة جاذبية الجرم و المعبر عنها G Mm/D ^2 بينما القوة الثانية هي قوة الطرد المركزي و التي تسعى لخلق توازن مع قوة الجذب وبالتالي منع الجسم من السقوط على الجرم .. فالجسم أثناء دورانه بسرعة منتظمة ينعدم تسارعـه المماس لمسارهaT و لا تبقى إلا قيمة تسارعه المركزيNormal AccelerationaN = V^2/Dو منه فقوة الطرد المركزي تساوي m.V^2/D و عليه فإن


G.M.m/D^2 = m.V^2/D ( الكتابة هنا بمنظم القوتين دون متجهات)

و منـه نجد قيمة سرعته
V = (G.M/D)^(1/2)

و بما أن V = 2π.D/T فإن T = 2π(D^(3/2))/(G.M)^1/2

و منه نرجع الى صيغة قانون كيبلر 3 مع اعتبار a= D المسافة بين مركزي ثقل الجسم في المدار و الجرم ،و k = 1/G.M، حيث G ثابتة كافينديش للتجاذب الكوني و M كتلة الجرم ..

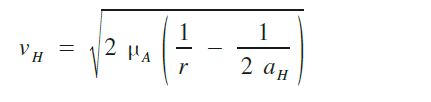
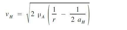
سرعات الإستقمار و التحريـر :


سـرعة الاستقمار هي السرعة الدنيا Vs minالتي يجب اعطاءها لجسم للبقاء في مدار حول الجرم دون سقوطه على السطح ، و حسب التعبير أعلاه فإن البارامتر المتغير بالنسبة لحالة قمر صناعي حول الأرض هو ارتفاع المدار و منه فإن السرعة اللازم إعطاءها له ليبقى في مدار دائري تنقص مع الارتفاع ، ففي مدار 200 كلم مثلا سرعة الاستقمار الدنيا Vs min = 7.86 Km/s ، بينما تصل الى6.15 Km/s لارتفاع 4190 كلم ، و 4.88 Km/s لـ 10400 كلم .. في حيـن تقارب3.07 Km/s على ارتفاع 35800 كلم و هو ارتفاع المدار الأرضي الثابت GEO


مدار قمر صناعي لا يكون دائريا إلا في حـالـة الوصول به الى سرعة الاستقمار الدنيا المكافئة لارتفاع المدار الذي نريد الاستقمار عليه و كذا انفصال القمر الصناعي عن المركبة الحاملة بشكل متواز مع سطح الارض .. في حالـة سرعة استقمار أكبر من Vs min فإن المـدار سيكون اهليلجيا ، بـؤرتـه مركز الأرض و حضيضه في نقطة الانفصال


بالنسبة للمدارات الاهليلجية eliptic orbits فإن سرعة القمر الصناعي تتغيـر حسب موضعه في المدار و بالتالي حسب بعده عن المركز البؤري (الارض) فتصل الى مستواها الاقصى عند الحضيض بينما تهبط الى ادنى مستوى عند الأوج(ابعد نقطة عن الارض) و ذلك ترجمة لانحفاظ الطاقة الميكانيكية للجسم في المدار، و يعبر عنها بالعلاقة التاليـة :
16081710230121956914435874.jpg




حيث r المسافة بين القمر في المدار و مركز الأرض و a هو نصف القطر الأكبر للاهليلج و المقدار
μA=G.M
..
قد يتبادر الى الذهن تساؤل حول السرعة اللازم اعطاءها لجسم ما ليخرج تماما من الجاذبية الأرضية و ينفلت من حالة الدوران حول الأرض و هو ما يسمى بسرعة التحرير أو Escape Velocity و التي يمكن حسابها عن طريق معادلة انحفاظ الطاقة الميكانيكية للجسم في المدار و يعبر عنها كالآتي :

Vesc = (2.Vs min)^1/2

خصــائص المدارات و نـوافـذ الإطلاق

orbital_parameters.jpg



للمـدارات خصائص عديـدة تميزها عن بعضها البعض سواء كانت اهليلجية او دائرية و من أهمها :


_ الدور المداري T و هي المدة الزمنية التي يقوم فيها الجسم بلفة واحدة في المدار و تحسب كما راينا أعلاه بالقانون 3 لكيـبلر ، حيث يتغير حسب نصف قطر الاهليلج a أو شعاع المدار r في حالة المدارات الدائرية فيعطي قيمة 90 دقيقة لقمـر على ارتفاع 200 كلم و 24 ساعة لقمر على ارتفاع 36000 كلم


_ زاوية الميل Inclinaison α و هي الزاوية التي يتخـذها مستوى المدار مع مستوى خط الاستواء .. ففي حالـة α≃ 0° نقول ان المدار استوائي بينما يكون المدار قطبيا اذا قاربت زاوية المدار 90 °
_ زاوية الحضيض argument of periapsis ω و هي تؤشر للزاوية بين اتجاه العقدة الصاعدة للمدار و اتجاه حضيض المدار

_ العقد المدارية : الصاعدة و النازلة للمدار و هي النقطتين التي يقطع فيهما المدار مستوى خط الاستواء بالتوالي حسب اتجاه دوران الجسم حول الارض و تعرفان حسب درجتهما بالنسبة لمرجع مطلق للزوايا ..

_ نقطتي الحضيـض و الأوج بالنسبة للمدارات الاهليلجية

_ الاختلالات الثقـالية :من اهم ظواهر الاختلالات المدارية و تلاحظ بشكل كبير لدى المدارات شبه القطبية و ذات الميل الكبير حيث ان العقد الصاعدة و النازلة للمدار تتغير ، و درجـة الاختلالات تكون مرتبطة بشكل مباشر بارتفاع المدار و ميله المداري.. و هي ناجمة عن شكل الأرض المسطح عند القطبين و التوزيع غير المتجانس للكتلة الارضية ما يجعل قيم الجاذبية تتغير مؤثرة بالتالي على حركة الاقمار الصناعية ، و هو ما يترجم بظاهرة المداورة العقدية Nodale Precession و تغير موضع الحضيض للمدارات ذات الانزياح الكبير، و هو ما يلزمه شرح أكثر لاحقا عند الحديث عن المدار الشمسي المتزامن SSO و مدارات Molniya

نــوافـذ و محطـات الإطـلاق :

لإنجـاح إطلاق نحو مدار معين يجب الأخذ بعين الاعتبار متغيرين أساسيين ، الأول هو المدار بمختلف مميزاته و الذي سيدور فيه القمر الصناعي ، و الثاني هو مسار قاعدة الإطلاق و التي تدور بدورها مع دوران الأرض و لا يمكن الاطلاق إلا عند تقاطع إسقاط مسار المدار مع مسار قاعدة الاطلاق حول خط عرضها، كما أن توقيت الاطلاق عامل مهم .. كل هذه المعطيات هو ما يسمى : نافذة الإطلاق ، و هو ما سنتطرق اليه بتفصيل اكثر تاليا :

أ‌) التوقيت الفلكي المحلي Sideral Local Time

عند حساب العقد المدارية يكون من الأجدى الاعتماد على صيغة التوقيت الفلكيSLT المعتمد على دوران الأرض في مرجع مطلق عوض حسابه بالساعات و بالتالي نستعمل درجات دوران الارض فلدينا 360° في 24 ساعة فلكية و منه فان ساعة واحدة = 15 °

نحسب درجات دوران الارض بالنسبة الى نقطة مرجعية ساكنة في الفضاء تسمى Vernal Point و يرمز لـها بـ I حيث يتم اختيارها بشكل اعتباطي حسب تموضع نجوم بعيدة و ساكنة بالنسبة للأرض لتوفير أكبر نسبة من الدقة في القياس .. في وقت معين موقع قاعدة الاطلاق يتم حسابه انطلاقا من النقطة المرجعية بالدرجات ، حيث يتغير موقعها على مدى اليوم مع دوران الارض حول نفسها ..

16081710344521956914435912.jpg



للإشارة فـإن القيمة الحقيقية لـ 24 ساعة فلكية تساوي بالتحديد 23 ساعة 56 دقيقة و 4 ثواني


ب‌) حالات التقاطع


مسـار المدار المفترض حول الأرض يعتمد على زاويتين و هما Ω: خط طول العقدة الصاعدة او بمعنى آخر التوقيت الفلكي عند تقاطع المدار مع مستوى خط الاستواء و التي تحسب انطلاقا من مرجع التواقيت .. الثانية هي α و هي درجة الميل المداري للمدار المفترض Inclinaison ..


من ناحية اخرى فبحسب خط عرض محطة الاطلاق Lat و درجة الميل المداري α يكون لدينا نافذة واحدة أو نافذتان أو قد لا تكون لدينا اي نافذة اطلاق مباشرة ..


عنـد α < Lat لا يكون هناك أي تقاطع بين الاسقاط الارضي لمسار المدار مع مسار محطـة الاطلاق و منـه فإنه لن توجد آنذاك أي نافذة إطلاق مباشرة و سيبقى الحل الوحيد لوضع القمر في مداره هو إطلاقه في مدار مؤقت ثم عمل مناورة مدارية تمكنـه من الوصول الى المدار المرغوب و لكنها عادة ما تكون مكلفة من ناحية الحصيلة الطاقية و كمية الوقود اللازم حرقها لتنفيذ المناورة ..
16081710392421956914435920.jpg




عند α = Lat
16081710372921956914435917.jpg


يتقـاطع المساران في نقطة وحيـدة تسمى نافذة الاطلاق FL و التي يمكن حسابها بالدرجات او بالتوقيت الفلكي المحلي حيث أن
FL= 90˚ + Ω
عندما تصل قيمة SLT الخاص بالقاعدة الى قيمة FL يكون قد حان وقت الإطلاق و في هذه الحالـة يتم الاطلاق عادة نحو الشرق مباشرة ..


عنـد α > Lat نكون أمام نافـذتي اطلاق FL 1 & FL 2 و حسابهما يتطلب بعض المعرفة بقواعد الحساب المثلثي الفلكي ، حيث يتم الامر كالآتي :
16081710455621956914435928.jpg




كما نرى في الـرسم التوضيحي فإن الزاوية الفاصلة بين FL 1 و Ω ليست 90° كما في الحالة السابقة إنما بينهما زاوية تدعى δ و لدينا التعبير التالي :


FL1 = δ + Ω


لحساب δ و حسب ما هو مبين في الصورة التوضيحية نجد المثلث الفلكي قائم الزاوية :
16081710485621956914435929.jpg



حيث δ إحدى أضلاعه ( جزء من خط الاستواء) بينما الزاوية Lat ضلعه الآخر المتعامد عليه ، و الزاوية β هي زاوية السمت Azimuth بين الشمال و مسار المدار و α الميل المداري للمدار .

العلاقتـان التاليتان تجمعان بين هذه الزوايا حسب معادلات Gauss للحساب المثلثي الفلكي :

Cos δ = Cos β / Sin α (1


سيكون علينا الآن معرفة زاوية السمت β و التي نجدها كذلك :

Sin β = Cos α / Cos Lat (2

حين تحسب كل هذه الزوايا يصبح حساب LW 1 ممكنا و بحسابه نجد نافذة الاطلاق الثانية LW2بسهولة أكثر عبر العلاقة التالية :

LW2 = LW1 + 180˚ ̵̵ 2δ




من خلال معـرفة التعابير العامة لنوافذ الاطلاق يمكننا معرفة تواقيت الاطلاق للمدارات المتوخى الاستقمارعليها انطلاقا من قاعدة إطلاق معينـة ، فـكيف يتم اختيار أمكنة انشاء قواعد الاطلاق و على اي أساس ؟


ج) قواعــد الإطلاق في العالم و مميزاتها :


قـواعد الإطلاق الفضائية و مواقعها لا تكون اعتباطية أبدا ، فالارض تدور 360˚ في 24 ساعة فلكية و بالتالي فالسرعة الخطية التي يدور بها سطحها هي :


V = W.R.Cos(Lat)


W السرعة الزاوية للأرض ، R شعاع الأرض ، Lat خط عرض المحطـة


Cos دالة جيب تمام الزاوية


و منه فكلما كان خط عرض الموقع صغيرا ( يعني أقرب لخط الاستواء) كلما تمت الاستفادة من سرعة دوران موقع الاطلاق، فالقيمة القصوى لسرعة سطح الارض عند خط الاستواء تقدر بـ 465 m/s بيـنما تكـون منعدمة عند مركزي القطبيـن ، و لذلـك فقبل إقلاع الصاروخ و الذي يبدو ساكنا لمشاهد على الارض يكون له في الواقع حوالي 5.7% من السرعة المطلوبة للاستقمار على مدار استوائي منخفض إذا افترضنا اطلاقه من موقع استوائي ، هكـذا فالبنسبة لمحطة Kourouالفرنسية في غوايان 5.23° تكون هذه السرعة 463 m/s ، Cap Canaveral في فلـوريدا 28.5° سرعة 410 m/s بينما Baikonour الروسية في كـازاخستان 45.6° سرعة 310 m/s .. لهذا السبب يتم الاطلاق عادة نحو الشرق و من قواعد أقرب ما يمكن من خط الاستواء للاستفادة من السرعة الخطية للقاعدة و أيضا لفتح نوافذ الاطلاق نحو أكبر مجال من الميل المداري للمدارات بغرض الاطلاق المباشر دون الحاجة لمناورات كثيرة و مكلفة طاقيا لتعديل الميل، و من جهة اخرى نجد أن العديد من القواعد تنفتح على مساحات خالية شرقا و حتى على المحور الشمالي/ الجنوبي ( للاطلاق نحو المدارات القطبية ) و ذلك تجنبا لسقوط معززات الصاروخ و مراحل دفعه أو مخلفات انفجار الصاروخ في حالة فشل الاطلاق عـلى مناطق مأهولـة ، لذلك فهناك قواعد مطلة على ساحل شرقي كـما في Cap Canaveral في فـلوريدا و Svobodniy في روسيا و Kourou في غوايان الفرنسية ،, San Marco,Cap Musudanبينما هناك من يطل على صحراء شرقية أو منطقة جرداء فارغة كما هو الحال مع Baikonour ,Kaputsin Yar , Plessetsk ، و قاعدة Hammaguir الفرنسية غرب مدينة بشار و التي تم اقتطاعها لصالح الجزائر الفرنسية و التي أخليت عام 67 و غيـرها ..


الاستفادة القصوى من سرعة سطح الارض لا تكون إلا إن كان المدار و قاعدة الاطلاق استوائيين و الاطلاق نحو الشرق أما فعليا فالبنسبة للمدارات ذات الميل فالاستفادة من السرعة تكون جزئية لأن متجهة سرعة المدار تكون لها 3 مركبات شرقيـة و جنوبية و سرعة سمت الراس V-zenith كما هو موضح في الصورة أسفله :
16081710510121956914435933.jpg




و لـذلك فنجد أن المحطات المخصصـة لإطلاق أقمار التجسس و التي تكون عادة بمدارات شبه قطبية يمكن أن يكون لها خطوط عرض مختلفة دون مشكل لأن الإطلاقات تكون نحو الشمال على مدارات تجاوز الـ 90° ببضع درجات .. مثـل Plessetsk شمال موسكو ،Jiuquan شمال الصـين ، Woomera جنوب استراليا و Vandenberg في كاليفورنيا هذه الاخيرة التي تنفتح على المحيط الهادي جنوبا و صحراء أريزونا شرقا، و تعتبر احدى أهم قواعد اطلاق أقمار التجسس الامريكية حيث يتم اطلاق أغلبها نحو الجنوب للمدارات الشبه القطبية ..


محطـة الفضاء الدولية ISS و حتى محطة Mir السوفياتية (خارج الخدمة) لهـا ميل Inclinaison 51.6° و ذلك لسبب أن الاطلاق من محطة Baikonour 46.5° يكـون في ظروف ممتازة ما يسمح لصواريخ Soyuz TMA و Proton-M مثـلا من الاستقمار بهامش من الـطاقة ، حيث يمكن استغلال ΔV التي تم اقتصادها من سرعة القاعدة و قلة التعديل المطلوب ، في زيادة حمولة الصواريخ من معدات و أجهزة لمحطة الفضاء الـدولية ..
محطــة الإطلاق العائمة Ocean Odysseyالتـابعة لشركة Sea Launch المتعددة الجنسيات هي محطة مشتقة من منصة نفط يابانية في بحر الشمال تم تحويلها الى محطة اطلاق استوائية لـغرض ايصال الاقمار التجارية و اقمار البث الفضائى الى مدار GEO بأقل خسارة طاقيـة .. المحطة تستعمل صواريخ Zenit-3 SL الاوكرانو- سوفياتية العاملة على وقود الكيروسين / الاوكسيجين السائل، حيث جرى اول اطلاق في مارس 1999 ، تتموقع الـ Ocean Odyssey قرب جزيرة Cristhmas Island في ارخبيل خط الاستواء وسط المحيط الهادئ ..

المنــاورات المـداريـة :


تكـاد لا تخلو عملية إطلاق فضــائية من مناورة لتعديل المـدار أو للانتقال من مدار لآخر سواء عبـر المرحلة النهائية من الصاروخ الحامل أو من خـلال محركات الدفع الخاصة بالأقمار الصناعية أو المسابير و المركبات الفضائية ..

مناورة Hohmann للتحويل المداري :

مدار Hohmann للتحويــل هو من الأكثر استعمالا في الانتقال بين المدارات احادية المستوى، إذ أنه أقل المناورات كلفة من الناحيـة الطاقية و يرجع الفضـل فيه الى عالم الفلك الألمـانـي فـالتر هومان Walter Hohmann منذ عشرينيات القرن العشرين ..


مناورة التحويل Hohmann هي الانتقال من مدار منخفض نحو مدار مرتفع باستعمال مدار تحويل اهليلجي حضيضه يلامس المدار المنخفض و أوجه يصل الى المدار المرتفع كما في الصـورة التوضيحية :
16081710544921956914435942.jpg



هناك مرحلتي دفع أساسيتين خلال هاته المناورة

الاولى :

دفـع على مستوى المدار المنخفض تكون متجهته مماسة للمدار ، هذا الدفع الاضافي يجعل سرعة الجسم في المدار أكبر من سرعة استقماره الدنيا التي كان يملكها قبل بداية المناورة Vs min ، ما يجعله يتخذ مدارا اهليلجيا تكون درجـة انحرافهe Orbital Excentricity مرتبطة بكمية الاضافية في أول المناورة

16081710561221956914435946.jpg




حيث aH هو نصف المحور الأكبر للاهليلج و 2aH=R1+R2 و هي المسافة الكاملة بين الحضيض و الأوج ، بينما r هو الشعاع في نقطة ما من المدار .. و منه فإنـه في أول المناورة يكون r = R1 و بالتالي يمكننا من خلال المعادلة أعلاه معرفة السرعة V(H-R1) اللازم الوصول لها في اول المناورة لبلوغ المدار ذو الشعاع R2 ..


المرحلـة الثانيـة :


أثناء الانتقال في مدار Hohmann الإهليلجي يفقد الجسم سرعته كلما ابتعد عن الحضيض ليصل الى أوج المدار بسرعة دنيا و بمسافة R2 عن الأرض ، و هي سرعة أقل بكثير من سرعة الاستقمار Vs min اللازمة ليبقى في المدار الدائري ذو الشعاع R2 ، ما يحتم اجراء دفع اضافي للوصول بالسرعة V(H-R2) الى قيمة سرعة الاستقمار في المدار المرتفع R2 ..


مناورات Hohmann لا تقتصر على الانتقال من المدار المنخفض نحو المرتفع بل يتم استغلالها ايضا في العملية العكسية .. فالمسابير و الاقمار عادة تملك محركات بدفع موجه تمكنها من العمل عكس مسار الحركة لابطاء سرعتها على مدار ما من اجل خفض ارتفاعها و النزول الى مدار أخفض ، ففي الفضاء الخارجي لا وجود للهواء و بالتالي لا يمكن اخماد الحركة الا بحركة في المنحى المعاكس ، و منه فان الحصيلة الطاقية للمناورة لا تتغير في العمليتين ..

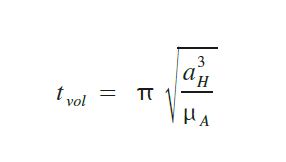
المــوعـد المداري Spatial Rendez-Vous :

أحيـانا لا يكـون علينا الوصول الى مدار محدد فحسب بل أيضا الوصول في توقيت دقيق و هو ما يعد شيئا مهما لعمليات الالتحام بجسم في المدار المنشود أو كذلك بالنسبة لأقمار البث و الاتصالات المتواجدة على مدار Geostationnary Orbit او مدارات مولنيا.. فالموعد المداري لا يعدو ان يكون مناورة Hohmann مؤطرة في الزمن ..
16081711001021956914435958.jpg




من خلال الصورة اعلاه يتضح لنا أنه للالتحام بالهدف على المدار المنشود ينبغي الانطلاق من المدار الأولي في وقت معين علينا تحديده بدقة ، هذا التوقيت يمثل تموضع المركبة بالنسبة للهدف و هو ما سنسميه زاوية الانفصال Angle of Separation و لحسابه سيكون علينا تحديد شيئين اساسيين : زمن المناورة و هو الزمن اللازم لقطع المسار نحو الهدف ، و زاوية التقدم


زمن المناورة هو بشكل اخر الوقت اللازم لقطع نصف محيط مدار التحويل الاهليلجي أي الوصول الى 180 درجة و هو يساوي نصف الدور المداري لمدار التحويل و يعبر عنه كالآتـي :


16081711040121956914435972.jpg


زاويـة التقدم للهدف avt α هي تغير موضعها الزاوي بالنسبة للزاوية البدئية أثناء قطع المركبة لزمن المناورة ، هذه الزاوية يمكن حسابها انطلاقا من السرعة الزاوية ω cible للهدف بشكل بسيط :


α = ω . t vol



بهذا الشكل سنستطيع حساب زاوية الانفصال maneuver Φ، هذه الزاوية التي يجب أن تفصل الجسم عن الهدف عند بداية المناورة المرجوة للالتقاء :

Φ = 180 -α


الجسمين في مدارين مختلفين ليسا تابثين بالنسبة لبعضهما و سرعتهما الزاوية تختلف حسب اختلاف مداريهما ما يجعل الزاوية الفاصلة بينهما متغيرة و لا تساوي دائما زاوية الانفصال .. من هنا جاء مفهوم وقت الانتظار و هو الوقت الذي ينبغي انتظاره من الجسم حتى يدخل في المناورة و بالتالي علينا انتظار وصول قيمة Φ initial الزاوية الفاصلة البدئية الى قيمة Φ maneuver ضمن زمن انتظار t (attente) :
16081711173321956914436023.jpg




16081711140221956914436016.jpg



16081711154121956914436021.jpg



فـي حـالة Φ initial > Φ maneuver سنقع في قيمـة سالبـة لكن بما أن الظاهرة دورية فيكفي زيادة 360 لفرق الزوايا للحصول على النتيجة المقبلة الصحيحة ..
--------------------------------------

 

المرفقات

  • upload_2016-8-17_20-17-29.png
    upload_2016-8-17_20-17-29.png
    71.6 KB · المشاهدات: 469
  • upload_2016-8-17_20-18-30.png
    upload_2016-8-17_20-18-30.png
    14.5 KB · المشاهدات: 489
  • upload_2016-8-17_21-43-16.png
    upload_2016-8-17_21-43-16.png
    70.1 KB · المشاهدات: 444
التعديل الأخير:
أنواع الـمدارات الأساسيـة

geo_leo_satellites.jpg



تتعـدد أنواع المدارات و خصائصها باختلاف المهام المنشودة من الاقمار الصناعية و المسابير .. فأقمار التجسس و التصوير الفضائي مثلا تتخذ غالبا مدارات منخفضة شبه قطبية بين 300 كلم و 1000 كلم ، في حين أن أقمار البث الفضائي و بعض أقمار الاتصالات تحتاج للبقاء ثابتة بالنسبة لمحطات الاستقبال الأرضية و منه فهي تلف على مستوى المدار الأرضي الثابت على علو 35786 كلم ، بينمـا أقمار التموقع الفضائي الأمريكية مثلا تسير على مدارات MEO بعلو 20 ألف كلم و بدرجة ميل 55 درجة .. و فيما يلي حديث حول بعض أهم أنواع المدارات بشكل أكثر تفصيلا ..


GEO


مدار GEO Geostationary Equatorial Orbit هو حــالة خاصة من مدارات GSO GeoSynchronized Orbit هذه الأخيرة مدارات لها خاصية أن دورها المداري مكافئ ليوم فلكي أي 23 ساعة 56 دقيقة و 4 ثواني حيث انها بالنسبة لملاحظ ارضي تعود لنفس النقطة في السماء في نفس التوقيت دائما و تخـط ما يشبه رقم 8 فوق سطح الارض تختلف حسب درجة ميل المدار و انزياحه المداري Orbital Eccentricity ..
260px-Igso3063.jpg

العديد من أنظمة الاتصالات تشكل شبكة من الاقمار على مدارات GSO ذات الانزياح المداري الكبير و ذلك لضمان بقاء الارسال لفترة طويلة حيث تطلق الأقمار بحيث يكون أوجها فوق البلد المالك للشبكة و بالتالي يبقى القمر فوق المنطقة لفترة طويلة بسبب سرعته الدنيا عند الأوج، و بعدها يعوضه قمر اخر من الشبكة و هو ما يعمل به ضمن برنامج QZSS الياباني للتموقع المحلي و الاتصالات و الأقمار السوفياتية على مدارات Tundra ..


مدار GEO هو مدار دائري استوائي بدور مداري = 1 يوم فلكي ، و هو ما يعني حسب قوانين كيبلر أن علوه 35786 كلم بالضبط و بسرعة 3.074 كلم / ثانية و هو مستعمل لأغلب اقمار الاتصالات و البث الفضائي و حتى لبعض اقمار برنامج التموقع الصيني المحلي 1Beidou .. لتبقى هذه الأقمار في مداراتها ينبغي اجراء تعديلات على مسارها باستعمال محركات دفع صغيرة بالوقود السائل ( لان عليها ان تستخدم مرات عدة) .. فبسبب مدارها العالي تحدث جاذبية الشمس و القمر اختلالات على مدارها بمقدار 1 درجة في السنة ، كما ان مدارها البعيد يجعلها غالبية السنة خارج ظل الأرض لأغلب فترات اليوم ما يعني تزويـد الواحها الشمسية بالطاقة بشكل شبه دائم ..


للوصول الى المدار GEO البعيد يكون حتما علينا اللجوء الى مناورة Hohmann على مدار شديد الانزياح المداري يسمى مدار GTO حيث يقع حضيضه على 200 كلم بينما أوجه يصل الى 35786 كلم .. و هو بالشكل التالي بالنسبة لاطلاق من موقع قريب من الاستواء :


يتم الانفصال عن الصاروخ على علو 200 كلم بسرعة 10.2 كلم / ثانية ، هذه السـرعة و باعتبارها أعلى من سرعة الاستقمار الدنيا على علو 200 كلم و هي 7.9 كلم / ثانية تجعل من القمر يتخذ مدارا بانزياح مداري كبير حيث يبتعد فاقدا سرعته حتى الوصول الى الاوج عند 35786 كلم بسرعة 1.6 كلم / ثانية و هي سرعة اقل من سرعة الاستقمار على نفس العلو ما يجعله يشعل محركا خاصا بـ GTO يعمل على الوقود الصلب ليزيد سرعته الى 3.074 كلم / ثانية و يعدل مداره ليصير دائريا و بالتالي يصبح القمر في مدار GEO .. في حالة الاطلاق من موقع بعيد عن الاستواء يكون على القمر الدخول في مناورة لي مداري لتغيير ميله المداري الى ما يقارب 0 درجة .. يحتفظ القمر بالوقود السائل في انظمة محركات تعديل المسار لديه حيث يبقى غالبا في المدار بين 10 – 15 سنة و بعدها يستعمل آخر كمية وقود لتقليص سرعته و السقوط نحو الارض حيث يحترق في الطبقات العليا غالبا بغية عدم المساهمة في ازدحام المدارات و ترك المخلفات الفضائية الشاردة ..


SSO


مــدارات SSO Sun Synchronized Orbits هو نوع مميز من المدارات الدائرية المنخفضة الارتفاع تعمل فيه معظـم أقمار الرصـد و التجسس لخاصياته الفريـدة و ما يتيـحه من ظروف ملائمة لمهام شديدة الدقة و التطلب ..


المدارات حـول الأرض ليست تابثة أبدا و انما هي دائما تحت تاثير الاختلالات المدارية النـاجمة عن تجاذب الأجرام الأخرى في المدارات العالية او عدم تجانس مجال الثقالة للأرض بالنسبة للمدارات المنخفضة ، و هو ما سنتوقف عنده، كما أن درجة ميل المدار و ارتفاعه تلعب دورا مهما في درجة تاثيرها..


الاختلالات المدارية تجعل تموقع الاقمار في المدارات متغيرا ، لكن أحيانا تكمن العبقرية في استنباط الحل من المشكل نفسه .. و هو ما يقع مع المدارات الشمسية المتزامنة SSO فهي مدارات تحافظ طيلة السنة على نفس الزاوية مع الشمس و تمر على نفس خط العرض في نفس التوقيت الفلكي دائما .. ما يعني درجة إنارة تابثة طيلة السنة و ملاحظة للمواقع في نفس الظروف ما يسهل عملية مقارنة المعطيات و تحليل التغيرات و يجعل عمليات الرصد منتظمة .. و هذا كله و لسخرية القدر بفضل مشكل عدم تجانس المجال الثقالي


مدارات SSO تتواجد غالبا على علو 500-1500 كلم و هو مجال يتيح :


- الحصول على نظام تصوير او تجسس الأقرب للأرض ما يعني معطيات عالية الدقة و أجهزة باقل كلفة ممكنة


- العمل على مدارات بعلو كاف لتجنب اخماد حركة الاقمار بجزيئات الهواء في الطبقات العليا للأرض


- العمل على مدارات بقرب كاف ليبقى تاثير الاختلالات الثقالية فعالا ليتم الاستفادة منه


عدم تجانس المجال الثقالي راجع بالاساس الى تسطح الارض عند القطبين الناجم بدوره عن دوران الارض حول محورها .. فالفرق بين محيطها عند الاستواء و محيطها عند القطبين يناهز 70 كلم بفعل هذه الظاهـرة و هو فرق كاف ليؤثر على حركية الاجسام اللافة حول الأرض عند الارتفاعات الدنيا .. فالقمر على مدارات عالية الميل يتعرض لتاثير ثقالة مختلف ، إذ انه يمر من مناطق بتاثير كبير عند الاستواء نحو مناطق أقل تاثيراقرب القطبين ..

16092510380821956914516283.jpg



ما يتم ملاحظته على تصرف الاقمار هو انها تحافظ على نفس ميلها المداري لكن عقدها تنزاح نحو الشرق بالنسبة لمدارات بميل بين 0 و 90 درجة ، و نحو الغرب بالنسبة للمدارات بين 90 و 180 درجة و هو ما يسمى بالمداورة العقديـة Nodale Precession .. بينما المدارات على درجة 90 لا تشهد هذه الظاهرة ..لكنها درجة مثالية و صعبة التحقيق

16092509414921956914516228.jpg

lanceur_ch02_0092.jpg


ما نلاحظه في الصورة اعلاه انـه بدون المداورة العقدية ( افتراضا) يبقى المدار محافظا على عقده الصاعدة و النازلة .. أي ان مستوى خط الاستواء يقطع مستوى المدار عند نفس النقط دائما .. نـرى ان الارض تدور حول الشمس و منه فان زاوية المدار مع الشمس ستتغير طوال السنة ما يعني اننا لن نحصل على تزامن شمسي هنا ..


16091102501021956914484908.jpg

ما يحدث في مدارات SSO هو اختيار الميل و الارتفاع المناسبين اللذان يمكنان القمر في المدار من الانزياح بمقدار زاوي مكافئ لتغير موقع الارض حول الشمس و بالتالي جعل المدار دائما مواجها للشمس بالزاوية نفسها و هو ما يلاحـظ في الصورة أعلاه ..


ليبقى المدار في مواجهة الشمس بنفس الزاوية طيلة السنة يجب على العقد ان تنزاح نحو الغرب 360 درجة في 365.24 يوما ، مايعني ان ينزاح المدار يوميا بقيمة 0.985 درجة .. بارامترين أساسيين يؤثران على قيمة المداورة العقدية و هما : الميل المداري و ارتفاع المدار حسب العلاقة التاليـة


d488d7ae45f5d9a4a585d395ec638ccfe1308311


641f395e9d9e25fd86eb4c87fab11dd177179032


للإشارة فالعلاقة أعلاه تمثل طرفا واحدا فقط من طرفي تغير موضع العقد المدارية ففي الحقيقة ينضاف بشكل عام تغير متجهة الانزياح المداري e كما هو مبين في العلاقة الثانية لـΔω1 ، لكن دائرية هاته المدارات تجعل من التغير الاجمالي يقتصر على المداورة العقدية ..


تاثير المداورة يتناقص مع الارتفاع فعلى مدارات فوق 1500 كلم يكون مفعولها شبه مهمـل على المدى القصير ، كما ان ارتفاع المدار يحدد دور المدار T و منه تحديد عدد اللفات في اليوم ،لأنـه للحصـول على قيمة 0.985 درجة يوميا اللازمة للحصول على تزامن شمسي ينبغي توزيع الانزياح على كل لفة يقوم بها القمر ..


و مثالا على ذلك نأخذ قمـر Spot 5 الفرنسي ، هذا القمر يدور على علو 800 كلم و بالتالي فإنه ينفـذ 14.3 لفة في اليوم


هذا يعني أن عليه الانزياح 0.069 درجة في كل لفة و هو ما يفسر قيمة ميلـه المداري المكافئ لـ 98.7 درجـة ..


بعض من اقمار SSO لها مرور بالعقدة النازلة في 12 من الظهيرة بالتوقيت المحلي عند خط الاستواء حيث تنتقل في حوالي 55-40 دقيقة بين منتصف النهار و منتصف الليل في الجهة الاخرى للكرة الارضية
بينما نجـد العديد منها تندرج ضمن اقمار التجسس الشفقيـة بمعنى انها تمر دائما في فترة الشفق و تبقى بشكل مستمر في مدار بين الليل و النهار .. أقمار كهذه يكون بعضها مخصصا للرصد الراداري حيث انها اقمار شرهة الاستهلاك و التواجد بمقابلة الشمس بشكل مستمر يوفر لها التغذية الطاقية اللازمة للعمل ، اقمار اخرى تعتمد مراقبة و تحليل صور بنمط اضاءة بشدة و زاوية ضئيلة تستفيد من هذه المدارات ، كما ان الاقمار الحاملة للتجهيزات الحساسة مثل اجهزة القياس الفيزيائية المعقدة تعتمد على مثل هذه المدارات كونها تعفي القمر من الانتقال من الجانب المظلم نحو الجانب المشمس و ما ينتج عنه من فارق مهول في درجات الحرارة و بالتالي يؤثر على فاعلية القياسات و عمر اشتغال الاجهزة مع مرور الوقت رغم العزل الحراري للاقمار الصناعية ..


HEO (Ex : Tundra & Molniya)


HEO High Eccentricity Orbits ، هي مـدارات لها ميزة التوفر على انزياح مداري كبير يمكنها من الاستجابة لمتطلبات معينـة لا تتيحها الانواع الأخرى من المدارات حيث تستخدم للاتصالات و حتى للتجسس احيانا لكن بمبدأ و أسباب مختلفة عما سبق، و من اشهرها مدار Molniya

NASA_molniya_oblique.png


تاريخيا واجـه الاتحاد السوفياتي إشكالية مـع تغطية كامل ترابه بأقمار الاتصالات على المدار الأرضي التابث ، فـنسبة مهمة من اراضيه تقع فوق خط العرض 70 و هي منطقة يصير فيها ارسال اقمار المدار التابث سيئا أو غير متاح أصلا .. إضافة الى هذا فالاتحاد السوفياتي و حاله حال العديد من دول الشمال لا يملك قواعد استوائية للإرسال الى GEO بـأقل كلفة طاقية..


هـذه الإشكالية دفعت مهندسي الفضاء السوفييت إلى ابتكار حـل يعتبر مستعملا لحد الآن من طرف عدة دول شماليـة ، الحل يتجلى في استخدام مدار اهليلجي بانزياح مداري عال ، بـدور T يمثل أحد قواسم اليوم الفلكي و بميل مداري محدد يجعل معدل تغير موضع الأوج صفـرا، فتـم اطلاق القمر, молния 1-01 (البــرق) الأول ضمن سلسلة أقمارMolnya فـي 21 غشت 1965 على مدار سيحـمل دوليا اسمـه فيما بعد ..

Molniya.jpg



المـدار لـه أوج على علـو 39750 كلم و حضـيض بـعلو 600 كلم فقط ، دوره المداري هو بالتحديد نصف يوم فلكي أي 11س 58 د ، و ميلـه يعادل 63.4 درجة .. ما يعني انه يمر من اوجه مرتين في اليوم ..يتم الإطلاق حيث يكون أوجـه البعيد فوق الأراضي الروسية لغايـة مهمة و هي الاستفادة القصوى من سرعته المتدنية عند الأوج ، ما يعني بقاءه لمدة طويلة يوميا في الخدمة ( ما يقارب 8 ساعات ) قبل ان يأفل مجددا و يصل الى الحضيض حيث يمر سريعا (قرابة 10 كلم / ثانية ) ثم يعاود الصعود الى الأوج ، قمر واحد لا يمكنه الخدمة فوق الأراضي الروسية على طول اليوم الشيئ الذي يعني ان 3 أقمار بمدارات متكافئة يفصل بينها 8 ساعات قادرة على ضمان ارسال مستمر .. دوره المقدر بنصف يوم يجعل من الأوج الثاني فوق الأراضي الأمريكيـة و الاسكا مــا جعل السوفييت يستخدمون هذا النوع من المدارات لغرض اضافي آخر هو التجسس و استشعار اطلاق الصواريخ البالستية الامريكية إبان الحرب الباردة ..

ميله ايضا مدروس بشكل دقيق فالاختلالات المدارية تجعل موقع الأوج يتغيــر مع الوقت و هو ما ينبغي تلافيه حتى تبقى الأقمار تصل الى اوجها في مكان معين فوق البلد المالك للقمر ، فحسب معادلة تغير موضع الأوج التالية :

0d62f06413f521a8262b2a10f7d492b0499b1733



نجد ان قيمة التغير تنعدم عندما يصير 5/4sin^2(i)-1 =0



و منه نجد ان قيمة الميل i اللازمة لمنع التغير هي 63.4 درجة ( 116.6 ايضا حل للمعادلة لكنه ميل غير مناسب ) .. و هي درجة الميل نفسها التي تتخذها مدارات Molniya ..


استخدام هذا النوع من المدارات ليس مقتصرا على السوفييت ، فالامريكيون أيضا يعملون به في تشكيل أقمار الاتصال Sirius و كـذا أقمار التجسس الأمريكية Trumpet


مدارات Tundra أقل استعمالا فهي من نفس فئة المدارات ذات الانزياح المداري الكبير لكنه يبقى اقل من الفئة مولنيا .. بـدور مداري يكافئ 23 س 56 د ما يجعلها مدارات ارضية متزامنة GSO اي انها تنفذ لفة واحدة كل يوم، و تصل الى الأوج مرة واحدة يوميا و فوق نفس المنطقة دائما .. محور الاهليلج الأصغر b لها أكبر من مدارات مولـنيا و تحديدا 24500 كلم بينما مدارات Super Tundra 18000 كلم .. ما ينعكس على اسقاط مسارها على الارض




أقــمار التمـوقـع الفضــائي Global Positionning System GPS (النظام الامريكي كمثال )

GPSsatellites.jpg




نظام التموقع الفضائي الأمريكـيGPS هو نظام مؤلف حاليا من 31 قمر NAVSTAR في الخدمة تدور في 6 مدارات شبه دائرية بميـل 55 درجة و على ارتفاع 20 الف الى 20500 كلم ، دورها المداري يعادل نصف يوم فلكي 11 ساعة و 58 دقيقة ، في كل نقطة من الكوكب تكون 7 الى 9 اقمار دائما قابلة للرصد .. اول قمر تم ايصاله للمدار عبر صاروخ Delta 4 عام 1978 لتتوالى اجيال او بلوكات الأقمار الصناعية كالآتـي :


بلوك 1 : و هي 11 قمرا الاولى التجريبية و تم اطلاقها بين 1978 و 1985 ، من انتاج Rockwell International و عمرها العملي بين 5 و 7 سنوات .. حاليا لا يوجد أي قمر من البلوك 1 في المدار..


بلوك 2 : بلوك 2 و تطويراتها اللاحقة هي الاقمار العملية للنظام ،دفعة اولى من 9 أقمار تم اطلاقها بين 1989 و 1990 لتلتحق بها 19 قمرا من الفئة Block 2 A ما بين 1990 و 1997 تتوفر على 4 ساعات ذرية من الروبيديوم و السيزيوم اكثر دقة و امكانية البقاء فترة طويلة دون تصحيح معطيات التوقيت من المحطات الارضية ..


بلوك 2 R : نسخة مطورة من السابقة ، تم اطلاقها الى مداراتها ما بين 1997-2009 بعدد 21 قمرا 20 منها في الخدمة حاليا .. يملك كل قمر 3 ساعات ذرية من الروبيديوم و امكانية تواصل مع الاقمار الاخرى في المدارات .. 8 منها تبث ارسالا على الموجة الحاملة الاحدث L2C المدنية و الارسال المشفر العسكري M .. ما يجعلها توفر دقة تصل الى 10 امتار للاستعمال المدني و 4 امتار الى 1 متر احيانا للاستعمالات العسكرية ..


بلوك 2 F : 10 اقمار من صناعة Boeing دخلت الخدمة عامي 2010/2011 ، يمكنها اضافة للموجات السابقة العمل على الموجة L5 المدنية ..


مبــدأ عمل النظــام :


يقوم النظام بالبث أساسا على الموجتين الحاملتين L1 & L2 للاستعمال المدني / العسكري باستعمال الكود المدني C/A Coarse Aquisition و الكود المشفر P(Y) للاستعمال العسكري و لبرامج البحث العلمية الحاملة لتصريح ، كما يوجد الكود المشفر M للاستعمال العسكري على اقمار بلوك 2 R/F و بلوك 3 ..


الكود المدني واسع الاستعمال C/A يتم تضمينه على الموجة L1 بتردد يكافئ 1575 MHz حيث ترسل معطيات التوقيت و تموقع القمر في المدار الى جهاز الاستقبال الأرضي للمستعمل ..


من خلال توصل جهاز الاستقبال بتوقيت الارسال المضمن داخل الرسالة و مقارنته بتوقيت الاستقبال يمكنه عبر ضرب الفرق في سرعة الموجة ( المعادلة تقريبا لسرعة الضوء) معرفة المسافة الفاصلة بين جهاز الاستقبال و القمر الصناعي ، قمر واحد لا يكفي إنما يجب التوفر على معطيات 4 اقمار صناعية مختلفة على الاقل و ذلك لحل معادلة التموقع و تقليص هامش الخطأ في التوقيت الناجم عن تأثير وسط انتشار الموجة الحاملة في طبقات الجو و كذا بقيمة اقل عن معدل الخطا في تعديل توقيت ساعات الأقمار لاختلاف المجال الثقالي اتفاقا مع نظرية النسبية العامة ..

معادلة التموقع تحل رياضيا عبر معادلة برانكفورت في التحليل العددي و التوفر على معطيات اقمار عدة ( عادة 8 اقمار ) تزيد من دقة النتائج كما ان التوزيع المتجانس للاقمار في سماء جهاز الاستقبال تعطي دقة افضل من حالة تواجدها في مخروط ضيق الزاوية من السماء فوق الجهاز ..


نــحو القمر :

800px-Apollo_15_flag%2C_rover%2C_LM%2C_Irwin.jpg

جيمس ايروين فوق القمر ، الرحلة ابولو 15


القمر أقرب جرم فلكي للأرض و يبعد عنها ما بين 363 الف و 405 الف كلم ، يدور حولها في مدار شبه دائري ، اهليلجي خفيف الانزياح و بدور يصل الى 27.25 يوما و بسرعة تصل الى 1 كلم / الثانية .. كل حيثيات مداره و اطواره معروفة جيدا منذ مئات السنين ، لذلك فالعوامل المؤطرة لارسال مسبار او مركبة نحوه تكون معروفة جيدا و منها عاملان اساسيان :

- السرعة النهائية الواجب اعطاءها للمسبار للدخول في مدار اهليلجي شديد الانزياح يصل أوجـه الى مدار القمر و يقطع مساره ( وهي الطريقة الابسط و الاقل تكلفة طاقيا)

- نافذة الاطلاق و الوقت المستغرق للرحلة و التي ينبغي الارسال فيها و ذلك للتاكد ان القمر سيكون هناك عندما يصل المسبار الى اوج مداره الاهليلجي ..

بسرعة 10.96 كلم / ثانية يكون لنا مدار اهليلجي له اوج على بعد 380 الف كلم و رحلة تستغرق بضعا و ستين ساعة ، اما عند سرعة الافلات الارضية 11.11 كلم / ثانية فالوقت يتقلص الى 36 ساعة فقط ، في حين يصل وقت الرحلة الى 12 ساعة عند سرعة نهائية تقارب 12.61 كلم / ثانية .. فكما نرى تغير صغير في السرعة الممنوحة للمسبار يمكنه من تقليص مدة السفر بشكل ملحـوظ .

من المهمات الاولى نحو القمر هي اطلاق مسابير لـونـا السوفياتية .. لونـا 3 السوفياتية مثلا و هي اول جسم يصور لنا الوجه المخفي للقمر أطلقت نحو القمر في 4 اكتوبر 1959 بسرعة نهائية تصل الى 11.05 كلم/ثانية ، هذا يعني ان مسارها كان اهليلجيا بـأوج على بعد 450 الف كلم ، يوم الـ 5 من اكتوبر تبدأ الجاذبية القمرية بتغيير خصائص مدارها لتصل يوم 6 من اكتوبر بجوار القمر متخذة مدارا في مستوى مغاير و بأوج أبعد 468 الف كلم ، لكنها تنجح في اخذ 29 صورة في 40 دقيقة ، بعثت منها 17 صورة فقط لتكون اول مهمة تصوير ناجحة لوجه القمر المخفي و الذي لا يرى من الارض بفعل ان القمر يدور حول نفسه في 27.25 يوم أي في المدة نفسها التي يكمل فيها دورة حول الأرض ..

كــل جسم آت من اللانهاية يقع في سقوط حر على سطح القمر بسرعة 2.37 كلم / ثانية و هي سرعة الافلات للقمر ، بين المسافة أرض- قمر هناك نقطة حيث تكون جاذبية القمر هي المهيمنة او بالاحرى تبتدئ عندها فقاعة التاثير الثقالية للقمر و التي يمكن اعتبارها لا نهاية بالنسبة لــه و هي تتواجد على 9 أعشار المسافة من الارض نحو القمر ، كل جسم على حافة فقاعة التاثير القمري و بدون سرعة بدئية سيصطدم بالسطح بسرعة تقارب 2.37 كلم / ثانية ، إلا أن المسابير عند دخولها لفقاعة التاثير القمرية يكون لها سرعة بدئية تنضاف الى السرعة الممنوحة من قبل الجاذبية القمرية ..لهـذا نجد مثلا ان لونـا 2 و التي انسحقت على السطح وصلت اليه بسرعة 3.3 كلم / ثانية ..

للاستقمار على القمر وجب الوصول الى سرعة 1.67 كلم / الثانية على سطحه ، 1 كلم / ثانية على علو 1055 كلم ، و 0.75 كلم / ثانية على مدار 7 آلاف كلم ، ما يعني ان المسبار القادم من الارض سيكون عليه تقليص سرعته بدلالة ارتفاعه مع هامش خطا صغير جدا .. الاستقمار هناك يكون صعبا و يتطلب تعديلا اوتوماتيكيا للسرعة عبر التوفر على رادار لحساب البعد و نظام حاسوبي متطور و جايروسكوبات و محركات دفع عكسي موصولة بالحاسوب لتعديل السرعة و الاتجاه ، فجاذبية الشمس و الارض تبقى قوية حتى داخل فقاعة التاثير القمرية و هذا ما يجعل الاستقمار لا يدوم لاكثر من بضعة دورات .. هذه كانت من اسباب فشل المسابير الأولى من طراز Pionier الامريكية و سلسلة Luna .. الى غاية العام 1966 حيث تمكن Luna 10 من احراز السبق و دخول مدار الاستقمار في 3 ابريل 1966 ، ليكون بذلك اول مسبار بشري يستقمر على القمر و يأخذ معطيات تغير المجال الثقالي القمري اضافة الى معطيات المجال المغناطيسي و النشاط الاشعاعي للسطح ..

للهبوط على القمر بسلام ينبغي ملامسة سطحه بسرعة منعدمة او مقاربة للصفر حتى لا ينسحق او يتضرر المسبار الفضائي ، عدم وجود غلاف جوي للقمـر يجعل من الضروري إنقاص سرعة المكوك عبر استعمال محركات عكسية ، و لأن معامل الكتل البدئية / النهائية يكون منخفضا في هذه الحالة فتلك المحركات عليها ان تكون اقوى ، فبالنسبة للونـا 9 اول مسبار يحط بنعومة على سطح القمر في 3 فبراير 1963 كان على محركاته العكسية انقاص سرعته من ما يزيد عن 3 كلم / الثانية الى 0 .. و اذا افترضنا سرعة نفث تصل الى 2.5 كلم / ثانية فسنجد عبر معادلة تسيولكوفسكي معامل كتل = 4 ..

بالنسبة لرحلات مأهولة كأبولو 11 و 14 و غيرها ستنضاف الى الكتلة الصامدة معدات دعم الحياة و الاوكسجين و الغذاء ، اضافة الى وقود العودة و الذي سيبقى ككتلة صامدة طوال رحلة الذهاب ، دون نسيان وجوب انتظار انفتاح نوافذ اطلاق للعودة و مناورات لتصحيح المسار و زاوية الدخول في الغلاف الجوي الارضي .. كل هذا يجعل رحلات كهذه اكثر تعقيدا و تطلبا و فيما يلي جرد لأبرز محطات الرحلات نحو القمـر :

5 اكتوبر 1959 ، لونا 3 السوفياتي يلتقط اول صور للوجه الخفي من القمر

3 فبراير 1963 ، لونا 9 يتمكن من الهبوط بسلاسة على السطح

3 ابريل 1966 ، لونا 10 أول مسبار يقـوم بالاستقمار في مدار حول القمر

20 يوليوز 1969 ، المهمة ابولو 11 و أول رائد فضاء فوق القمر ( نيل ارمسترونغ و باز الدرين)

19 نوفمبر 1969 ، المهمة ابولو 12 تحط على القمر مع الرائدين ( تشارلز كونراد و ألان بيـن)

5 فبراير 1971 ، المهمة ابولو 14 ، ثالث مهمة ماهولة ناجحة على سطح القمر ( ألان شيبارد و ايدغار ميتشيل)

7 غشت 1971 ، المهمة ابولو 15 ، المهمة المأهولة الرابعة ( ديفيد سكوت و جيمس ايروين)

21 ابريل 1972 ، المهمة ابولو 16 ، المهمة الماهولة الخامسة ( جون يونغ و تشارلز دوك)

11 ديسمبر 1972 ، المهمة ابولو 17 ، و هي المهمة الماهولة السادسة و الاخيرة نحو القمر ( يوجيـن سيرنان و هاريسون شميت)



المهمات نحو الفضاء الخارجي :


قبـل البـدء في هـذه الفقرة وجب التذكير بمفهوم و معادلة مهمة و هي معادلة الطاقة الميكانيكية لكل وحدة كتلة لجسم في مجال ثقالي و التي يعبر عنها كالآتي :


Є = V^2/2 – μA/r


و هي قيمة تابثة متعلقـة بالجرم المدروس حيث


є الطاقة الميكانيكية الكتلية J/Kg


V سرعة الجسم الموجود في مجال ثقالة الجرم الفلكي و r المسافة بينهما


μA التابثة الثقالية للجـرم


نلاحظ في التعبير أن μA/r و هي طاقة الوضع الثقالية يتم خصمها من الطاقة الحركية لوحدة الكتلة و بالتالي فإن є لا تكون موجبة دائما .. هناك في الواقع 3 حالات مختلفة :


1- є سالبة تعني ان الجسم يبقى مرتبطا بالجرم و منه يبقى مساره اهليلجيا في مدار حول الجرم


2- є =0 تعني ان الجسم في هذه الحالة يتبادل السرعة مع الارتفاع ويكون بمسار شلجمي ( حركة المقذوفات البالستية على الارض تدخل ضمن هذه الحالة)..


3- є موجـبة بما يعني ان الجسم له دائما اضافة من السرعة مهما كان بعده عن الجرم و بالتالي يتمكن من الافلات من جاذبية الجرم بمسـار هذلـولي Hyperbolic Path، و هي الحالة التي سنوليها اهتماما في هذه الفقرة ..


الســفر نحو كواكب المجموعة الشمسية أكثر تعقيدا من حيث قدرات الدفع و المعرفة الفلكية و الحسابات الهندسية فالسفـر عادة يمكن تقسيمه الى 3 او 4 مراحل حسب طبيعة المهام و هو كالتالي :

مرحلـة الإفـلات : و هي مرحلـة داخل فقاعة التاثير الثقالي للأرض، تدوم لأقل من يوم واحد.. يتم فيها الوصول بالمسبار الى سرعة إفلات على علو 200 – 280 كلم تكون اكبر من 11.2 كلم / ثانية ، و ذلك إما بشكل مباشر عبر المرحلة الاخيرة للصاروخ الحامل أو عبر محركات الدفع الخاصة بالمسبار بعد فترة من اللف في مدار انتظار مؤقت ..

من مميزات مرحلة الافلات :

- مسار هذلولي Hyperbola للإفلات
- معلم يتخذ من الارض مرجعا للسرعات و المسافات
- قوة ثقالية واحدة تؤخذ بعين الاعتبار و هي جاذبية كوكب الانطلاق (الارض كمثال)

المرحلة الشمسية المركزية : و هي بعد الخروج من فقاعة التاثير الثقالية للأرض و تعتبر الأطول من حيث المدة إذ يمكن ان تصل الى شهور او سنوات ، من مميزاتها :

- مسارها جزء من اهليلج

- معلم يتخذ من الشمس مرجعا للسرعات و المسافات

- جاذبية الشمس هي القوة الثقالية المسيطرة و المأخوذة بعين الاعتبار

- شعاع فقاعة تاثير الثقالة الكوكبية يكون مهملا بالمقارنة مع المسار الكبير للمرحلة


مرحلـة الدخـول :


المسبار هنا يمكن اعتباره قادما من اللانهاية نحو فقاعة تاثير الكوكب و بالتالي مسار الدخول هـو هذلـول بؤرته مركز الجرم، حيث تعود مميزات المرحلة للوضع الكوكبي ما يعني ان المرجع هنا هو الكوكب و قوة جاذبيته هي القوة المسيطـرة .. عند الاقتراب من حضيض الهذلول يجري المسبار مناورة لتقليص سرعته عبر محركات الدفع العكسية حتى يتمكن من البقاء في مدار حول الكوكب أو لكي يهبط على سطحـه ..


تحليــل المراحــل :


عند الافلات


لنفترض تواجـد المسبار على مدار انتظار و لتـكن Vc سرعتـه الخطية على المدار و لتكن V0 سرعة الخروج من مدار الانتظار نحو المسار الهذلـولي للافلات ، و r0 الشعاع نحو مركز الارض في الصورة اسفله r0=OP

upload_2016-8-18_22-43-32.png

للخروج من الجاذبية الارضية وجب الحصول على سرعة V0 اعلى من سرعة الافلات المعبر عنها كالآتي :


16081811003121956914438069.jpg

و بالتالي القيام بمرحلة دفع تكافئ القيمة ΔV اللازمة :

16081811020121956914438072.jpg


المسبار يبتعد عن الارض حتى الخروج من فقاعة تاثيرها متخذا مسارا يؤول الى المقارب الهذلولي في ما لا نهاية ، ما يحدث ان سرعته تتناقص منV0 الى خارج فقاعة التاثير لتتبث بعد ذلك على قيمة تسمى السرعة في ما لا نهاية V ∞
و التي تحسب بالعلاقة التالية :

16081811070021956914438073.jpg

كما أن اتجاهها هو اتجاه المقارب الهذلولي و الذي تحدده الزاوية β كما هو مبين في الشكل حيث cos β = 1/e حيث e =excentricity الانزياح المداري للهذلـول و الذي يمكن اعتباره اهليلجا لانهائيا عندما تكون قيمة e > 1 .. كما راينا فوق في الحديث حول الأقمار فقيمة e تحددها السرعة المكتسبة على المدار عند بداية المناورة و بالتالي فان قيمة و اتجاه V ∞ يتعلق بشكل اساسي بالسرعة V0 في اول مناورة الافلات ..

عند المرحلة الشمسية المركزية :


يتم هنـا اهمال شعاع فقاعة التاثير الارضي بالنسبة للمسافة ارض- شمس ، و بما أن المرجع هنا هو الشمس فالسرعة بالنسبة لهـا Vos هي تجميع متجهي لسرعة الارض ( او الكوكب عموما) حول الشمس مع سرعة اللانهاية للمسبار كالتالـي :

16081811115521956914438083.jpg


في حالتنا هذه يكون الاقلاع من الارض و منه فـ Vp = Vt سرعة الارض في مدارها و التي تعادل 29.783 km/s ..

لزيارة كواكب أقرب للشمس ( الزهرة ، عطارد) يتم توجيه السرعة V∞ عند مرحلة الافلات عكس اتجاه سرعة دوران الارض حول الشمس ( الجداء السلمي للمتجهتين سالب عموما) و بالتالي فسرعة المسبار/ الارض تخصم من سرعة الارض و يتمكن المسبار من " الهبوط" نحو مدار شمسي اخفض ، أما في حالة "الصعود" فتكون متجهة V∞ بنفس اشارة متجهة دوران الارض و بالتالي فسرعة المسبار تنضاف لسرعة الارض ليتمكن من الوصول لكواكب أعلى ( مريخ ، زحـل ..الخ) .


بالنسبة لزاوية الاطلاق فعموما تتخذ متجهـة V∞ زاوية ᴪ مع متجهة سرعة دوران الارض حول الشمس و التي بدورها تمكن من أعطاءنا قيمة زاوية الاطلاق ᵞos كما هو موضح تاليا :


upload_2016-8-18_22-45-15.png



16081811171321956914438124.jpg

-----------------------


upload_2016-8-18_22-45-33.png

الصورة التالية توضح لنـا مسار المسبار باللون الاحمر ، مدار الأرض بالازرق و مدار الكوكب باللون الاسود .. هند وصول المسبار الى الكوكب تكون سرعته Vs1 بينما الزاوية 1s ᵞ هي الزاوية التي يكونها التقاطع بين سرعة الكوكب و سرعة المسبار و هي قيم يمكن حسابها بسهولة كالتالي :

16081811252321956914438158.jpg



المعادلة 1 هي معادلة انحفاض الطاقة الميكانيكية و تعطينا قيمة Vs

المعادلة 2 هي تابثة المساحات و التي تاتي كترجمة لانحفاض العزم الحركي حسب قانون كيبلير للمساحات

المعادلة 3 تعطينا السرعة V∞1 و هي سرعة الوصول بالنسبة للكوكب و التي تعتبر كسرعة دخول الى فقاعة التاثير الثقالي

بالنسبة للمسار هنا فهو جزء صغير من اهليلج يصل اوجـه الى ابعد من مدار الكوكب و بالتالي فوصول المسبار له يكون قبل بلوغه الاوج ، كما ان متجهة السرعة حول الشمس ليست مستقيمية مع متجهة سرعة دوران الارض.. لـذا فاطلاق بهذه المواصفات يمكن من الوصول الى الكوكب في وقت قصير نسبيا لكنه يستوجب صرف طاقة اكبر مع فرق سرعة ΔV كبير في مرحلة الدفع قرب الارض .. بالنسبـة للاطلاق الاكثر اقتصادية فإن علينا العودة للمدارات من فئـة Hohmann لكن هذه المرة حول الشمس كما هو مبين تاليـا :

upload_2016-8-18_22-45-55.png


مدارات Hohmann اقل تطلبا من الناحية الطاقية لكنها في المقابل تستلزم وقتا اطول للرحلات فالمسبار يكون عليه الذهاب لنصف محيط الاهليلج الذي حضيضه الارض و أوجه الكوكب المنشود ( في حالة الصعود نحو الكواكب العليا ) ، كما يستلزم الامر دراسة دقيقة لمسار الكوكب و دوره المداري حول الشمس و تموضعه لحظة الاطلاق ( الامر مشابه لفقرة الموعد المداري الذي سبق شرحه في الموضوع) ما يعطي للمريخ مثلا نافذة اطلاق واحدة كل 2.137 سنة و تكون معطيات الرحلة كالآتي :


سرعة الاطلاق عند علو 422 كلم من الارض V0 = 11.22 km/s


سرعة خروج من مجال تاثير الارض : V∞ = 2.94 km/s


السرعة الشمسية المركزية للخروج : Vos = 32.73 km/s


مدة المسار Hohmann : 259 يوم



عند مرحلـة الدخـول ، المسبار يخترق فقاعة التاثير للكوكب و التي بالمقاييس الكوكبية يمكن اعتبارها امتدادا لا نهائيا و بالتالي فـمسار الدخول يكون عبر فرع هذلولي ، سرعة الدخول لمجال الكوكب الثقالي تكون اكبـر من سرعة الاستقمار حول الكوكب مـا يعني ان المسبار يكون لـه عدة خيارات حسب المهمة الموكلـة لـه :

1- دراسـة طويلة للكوكب : تستوجب دخولا الى مدار اهليلجي او دائري عبر استعمال محرك عكسي لتخفيض سرعة المسبار بالنسبة للكوكب حتى الوصول لسرعة الاستقمار على المدار المقرر ، مناورة انقاص السرعة تتم عادة على مستوى حضيض الهذلول ..

2- دخول للغلاف الجوي : في حال وجوده على الكوكب يستعمل الغلاف الجوي لتخفيض السرعة عبر الاحتكاك بحيث يتم اختيار زاوية دخول توفر حضيضا هذلوليا منخفضا.. و بالتالي يمكن للمسبار الهبوط على الكوكب دون خسارة كبيرة للطاقة من محركاته العكسية ..

3- الترامبولين الثقالي : يتم الدخول نحو مجال تاثير الكوكب دون تنفيذ أي فرملـة و بالتالي يستمر المسبار في مساره نحو حضيض مرتفع الى غاية الخروج من الفرع الهذلولي الآخر نحو النظام الشمسي مجـددا .. ما يحدث من حيث المبدأ هو استعمال جـاذبية الكوكب لإعطاء المسبار فرق سرعة اكبر بالنسبة للشمس و تغيير متعمد لمتجهة سرعته بغيـة التقليص من الوقود المستعمل و كذا استغلال الظاهرة لتمكين المسبار من بلوغ مديات بعيدة جدا لم يكن يستطيع بلوغها بـدفعه الخاص عبر الطريقة التقليدية ..
upload_2016-9-24_22-0-59.png


بداية الامر يقترب المسبار من الكوكب حتى يدخل في فقاعة تاثيره بزاوية دخول مدروسـة مسبـقا ، حيث تزداد سرعة المسبار لتصل الى اقصاها عند حضيض الهذلول لكنه يعود ليبتعد و يخسر سرعته وصولا الى حافة الخروج من فقاعة الكوكب لتعود الى قيمتها الاولية عند الدخول ، في الأخير و بالنسبة لملاحظ من الكوكب فإنـه سيرى المسبار يتخذ مسارا هذلوليا و سيـلاحظ ان سرعة دخوله مجال التاثير هي ذاتها سرعة خروجه لكن متجهتها تغيرت ، لكن و للمفارقة فان المسبار اكتسب سرعة اضافية ، نحن نتكلم هنا عن السرعة بالنسبة للشمس عند الخروج Vs2 و التي كما مبين في الصورة اعلاه اصبحت اكبر من Vs1 عند الدخول بالنسبة لهذا المثال الذي يوضح عملية زيادة في السرعة .. هـذا الأمـر لا يستخـدم لزيادة السرعة فحسب عبر مرور المسبار خلف الكوكب ، بل ايضا لتقليصها عبر مروره من أمامه .. بالمجمل فرق السرعة الممنوح من هذه المناورة يحسب عبر العلاقة التاليـة :

ΔV = 2 V∞1.cos β

V∞1 سرعة الدخول الى فقاعة التاثير و هي تساوي سرعة الخروج منها V∞2 ..

β نصف الزاوية بين الفرعين اللانهائيين للمسار الهذلولي ..

المسـاعدة الثقالية او الترامبولين الثقالية مستعملة منذ اول المسابير العابرة للمجموعة الشمسية و اشهرها فويـجر 1 و فويجر 2 .. هذا الأخير و الذي اطلق في 20 غشت 1977 استغل المساعدة الثقالية لكل من المشتري و زحل و ارانوس و نيبتون و هو حاليا خارج الهيليوسفير و هو مجال تاثير الرياح الشمسية منذ 2007 و بالتحديد على بعد حوالي 84 وحدة فلكية ( 84 ضعف المسافة المتوسطة بين الشمس و الارض) .. مسبار كاسيني الامريكي-الاوروبي قام باستغلال المساعدة الثقالية على عدة مراحل فقد اطلق في اكتوبر 1997 و وصل اخيرا الى هدفه و هو مدار كوكب زحـل عام 2004 .. قام المسبار بمرور مدروس نحو الزهرة لترمي به نحو مدار الأرض مجددا التي اعطته دفعا ثقاليا اضافيا ثم الى المشتري و اخيرا نحو زحــل.. هذه المناورة كلفته زيادة في مدة السفر بـ 0.7 سنة مقارنة بمدار هومان مباشر نحو المشتري لكنها وفرت عليه فرق سرعة يصل الى 2 كلم / الثانية .. فلبلوغ زحــل دون مساعدة ثقالية كان على المركبة الوصول الى 15.6 كلم / الثانية عند اخر مرحلة للدفع و هو ما ليس متاحا حتى مع اقوى الصواريخ ..
444px-Cassini_interplanet_trajectory.svg.png




--------------- انتهـى ---------------


هــذا العمــل مجهود شخصي و موضوع حصري لمنتدى الدفاع و التسليح
الكــاتب : Ibn zyad
 

المرفقات

  • upload_2016-8-18_22-40-47.png
    upload_2016-8-18_22-40-47.png
    8.3 KB · المشاهدات: 403
التعديل الأخير:
رائع جدا جدا ... أين كنت تخفي عنا كل هذا ؟ ^_^

احسنت اخي ابن زياد، موضوع متعوب عليه وشغل نادر نشوف مثله هذه الأيام في المنتدى .

قرأته مره وسأعود لقرائته مرة اخرى من دون شك .
 
شكرا لك اخي على الموضوع الرائع
تقبل تحياتي
نسر الاطلس

لا للشكــر اخي الكريـم مرورك يشرفنـي

حياك الله موضوع متكامل

الله يحييك اخــي الكريم .. تقبل تحياتي

رائع، سأستفيد منه كثيرا

شكــرا اخي غســان ..تحياتي لك
شكرا على موضوعك المميز و المثير للاهتمام

الشكــر لك اخي الكريـم

رائع جدا جدا ... أين كنت تخفي عنا كل هذا ؟ ^_^

احسنت اخي ابن زياد، موضوع متعوب عليه وشغل نادر نشوف مثله هذه الأيام في المنتدى .

قرأته مره وسأعود لقرائته مرة اخرى من دون شك .

عــلى الرحـب و السعـة اخي كـازولـين ..سعدت كثيرا بمرورك ، الموضوع اخذ مني وقت كثير حتى اني الغيت منه العديد من الفقرات حتى لا اضخمه و يصبح في متناول القراء، لكن كتابته و البحث فيه كان امرا ممتعا ..اتمنى ان ينال اعجابكم ..تقــبل تحيــاتـي اخي العزيز
 
موضوع جبار ومليئ بالمعلومات
الموضوع هذا خصوصا كنت بدأت فى كتابته من اجل نشره فى منتدى اخر وبدات من الصينيين واختراع السهم المدفوع بالبارود ولكن لم يسعفنى الوقت نظرا لانشغال الدراسة فاوقفت الكتابة فيه
بس شهادة لله موضوعك متكامل واكبر مما كنت انوى كتابته
 
هذي المواضيع اللي تقدر تسميها مواضيع بجد. ما شاء الله.
 
مبدع كعادتك
موضوع نادر جدا تواجد متله بهذا الكم من المعلومات بالمنتدى
 
عندما يتحدت الابدآع :)

تقبل تحيــآتي آخي + شكرآ على المجهود واكيد راح نستفيد من المـوضوع
 
أنواع الـمدارات الأساسيـة

geo_leo_satellites.jpg



تتعـدد أنواع المدارات و خصائصها باختلاف المهام المنشودة من الاقمار الصناعية و المسابير .. فأقمار التجسس و التصوير الفضائي مثلا تتخذ غالبا مدارات منخفضة شبه قطبية بين 300 كلم و 1000 كلم ، في حين أن أقمار البث الفضائي و بعض أقمار الاتصالات تحتاج للبقاء ثابتة بالنسبة لمحطات الاستقبال الأرضية و منه فهي تلف على مستوى المدار الأرضي الثابت على علو 35786 كلم ، بينمـا أقمار التموقع الفضائي الأمريكية مثلا تسير على مدارات MEO بعلو 20 ألف كلم و بدرجة ميل 55 درجة .. و فيما يلي حديث حول بعض أهم أنواع المدارات بشكل أكثر تفصيلا ..


GEO


مدار GEO Geostationary Equatorial Orbit هو حــالة خاصة من مدارات GSO GeoSynchronized Orbit هذه الأخيرة مدارات لها خاصية أن دورها المداري مكافئ ليوم فلكي أي 23 ساعة 56 دقيقة و 4 ثواني حيث انها بالنسبة لملاحظ ارضي تعود لنفس النقطة في السماء في نفس التوقيت دائما و تخـط ما يشبه رقم 8 فوق سطح الارض تختلف حسب درجة ميل المدار و انزياحه المداري Orbital Eccentricity ..
260px-Igso3063.jpg

العديد من أنظمة الاتصالات تشكل شبكة من الاقمار على مدارات GSO ذات الانزياح المداري الكبير و ذلك لضمان بقاء الارسال لفترة طويلة حيث تطلق الأقمار بحيث يكون أوجها فوق البلد المالك للشبكة و بالتالي يبقى القمر فوق المنطقة لفترة طويلة بسبب سرعته الدنيا عند الأوج، و بعدها يعوضه قمر اخر من الشبكة و هو ما يعمل به ضمن برنامج QZSS الياباني للتموقع المحلي و الاتصالات و الأقمار السوفياتية على مدارات Tundra ..


مدار GEO هو مدار دائري استوائي بدور مداري = 1 يوم فلكي ، و هو ما يعني حسب قوانين كيبلر أن علوه 35786 كلم بالضبط و بسرعة 3.074 كلم / ثانية و هو مستعمل لأغلب اقمار الاتصالات و البث الفضائي و حتى لبعض اقمار برنامج التموقع الصيني المحلي 1Beidou .. لتبقى هذه الأقمار في مداراتها ينبغي اجراء تعديلات على مسارها باستعمال محركات دفع صغيرة بالوقود السائل ( لان عليها ان تستخدم مرات عدة) .. فبسبب مدارها العالي تحدث جاذبية الشمس و القمر اختلالات على مدارها بمقدار 1 درجة في السنة ، كما ان مدارها البعيد يجعلها غالبية السنة خارج ظل الأرض لأغلب فترات اليوم ما يعني تزويـد الواحها الشمسية بالطاقة بشكل شبه دائم ..


للوصول الى المدار GEO البعيد يكون حتما علينا اللجوء الى مناورة Hohmann على مدار شديد الانزياح المداري يسمى مدار GTO حيث يقع حضيضه على 200 كلم بينما أوجه يصل الى 35786 كلم .. و هو بالشكل التالي بالنسبة لاطلاق من موقع قريب من الاستواء :


يتم الانفصال عن الصاروخ على علو 200 كلم بسرعة 10.2 كلم / ثانية ، هذه السـرعة و باعتبارها أعلى من سرعة الاستقمار الدنيا على علو 200 كلم و هي 7.9 كلم / ثانية تجعل من القمر يتخذ مدارا بانزياح مداري كبير حيث يبتعد فاقدا سرعته حتى الوصول الى الاوج عند 35786 كلم بسرعة 1.6 كلم / ثانية و هي سرعة اقل من سرعة الاستقمار على نفس العلو ما يجعله يشعل محركا خاصا بـ GTO يعمل على الوقود الصلب ليزيد سرعته الى 3.074 كلم / ثانية و يعدل مداره ليصير دائريا و بالتالي يصبح القمر في مدار GEO .. في حالة الاطلاق من موقع بعيد عن الاستواء يكون على القمر الدخول في مناورة لي مداري لتغيير ميله المداري الى ما يقارب 0 درجة .. يحتفظ القمر بالوقود السائل في انظمة محركات تعديل المسار لديه حيث يبقى غالبا في المدار بين 10 – 15 سنة و بعدها يستعمل آخر كمية وقود لتقليص سرعته و السقوط نحو الارض حيث يحترق في الطبقات العليا غالبا بغية عدم المساهمة في ازدحام المدارات و ترك المخلفات الفضائية الشاردة ..


SSO


مــدارات SSO Sun Synchronized Orbits هو نوع مميز من المدارات الدائرية المنخفضة الارتفاع تعمل فيه معظـم أقمار الرصـد و التجسس لخاصياته الفريـدة و ما يتيـحه من ظروف ملائمة لمهام شديدة الدقة و التطلب ..


المدارات حـول الأرض ليست تابثة أبدا و انما هي دائما تحت تاثير الاختلالات المدارية النـاجمة عن تجاذب الأجرام الأخرى في المدارات العالية او عدم تجانس مجال الثقالة للأرض بالنسبة للمدارات المنخفضة ، و هو ما سنتوقف عنده، كما أن درجة ميل المدار و ارتفاعه تلعب دورا مهما في درجة تاثيرها..


الاختلالات المدارية تجعل تموقع الاقمار في المدارات متغيرا ، لكن أحيانا تكمن العبقرية في استنباط الحل من المشكل نفسه .. و هو ما يقع مع المدارات الشمسية المتزامنة SSO فهي مدارات تحافظ طيلة السنة على نفس الزاوية مع الشمس و تمر على نفس خط العرض في نفس التوقيت الفلكي دائما .. ما يعني درجة إنارة تابثة طيلة السنة و ملاحظة للمواقع في نفس الظروف ما يسهل عملية مقارنة المعطيات و تحليل التغيرات و يجعل عمليات الرصد منتظمة .. و هذا كله و لسخرية القدر بفضل مشكل عدم تجانس المجال الثقالي


مدارات SSO تتواجد غالبا على علو 500-1500 كلم و هو مجال يتيح :


- الحصول على نظام تصوير او تجسس الأقرب للأرض ما يعني معطيات عالية الدقة و أجهزة باقل كلفة ممكنة


- العمل على مدارات بعلو كاف لتجنب اخماد حركة الاقمار بجزيئات الهواء في الطبقات العليا للأرض


- العمل على مدارات بقرب كاف ليبقى تاثير الاختلالات الثقالية فعالا ليتم الاستفادة منه


عدم تجانس المجال الثقالي راجع بالاساس الى تسطح الارض عند القطبين الناجم بدوره عن دوران الارض حول محورها .. فالفرق بين محيطها عند الاستواء و محيطها عند القطبين يناهز 70 كلم بفعل هذه الظاهـرة و هو فرق كاف ليؤثر على حركية الاجسام اللافة حول الأرض عند الارتفاعات الدنيا .. فالقمر على مدارات عالية الميل يتعرض لتاثير ثقالة مختلف ، إذ انه يمر من مناطق بتاثير كبير عند الاستواء نحو مناطق أقل تاثيراقرب القطبين ..


ما يتم ملاحظته على تصرف الاقمار هو انها تحافظ على نفس ميلها المداري لكن عقدها تنزاح نحو الشرق بالنسبة لمدارات بميل بين 0 و 90 درجة ، و نحو الغرب بالنسبة للمدارات بين 90 و 180 درجة و هو ما يسمى بالمداورة العقديـة Nodale Precession .. بينما المدارات على درجة 90 لا تشهد هذه الظاهرة ..لكنها درجة مثالية و صعبة التحقيق

16092509414921956914516228.jpg

lanceur_ch02_0092.jpg


ما نلاحظه في الصورة اعلاه انـه بدون المداورة العقدية ( افتراضا) يبقى المدار محافظا على عقده الصاعدة و النازلة .. أي ان مستوى خط الاستواء يقطع مستوى المدار عند نفس النقط دائما .. نـرى ان الارض تدور حول الشمس و منه فان زاوية المدار مع الشمس ستتغير طوال السنة ما يعني اننا لن نحصل على تزامن شمسي هنا ..


16091102501021956914484908.jpg

ما يحدث في مدارات SSO هو اختيار الميل و الارتفاع المناسبين اللذان يمكنان القمر في المدار من الانزياح بمقدار زاوي مكافئ لتغير موقع الارض حول الشمس و بالتالي جعل المدار دائما مواجها للشمس بالزاوية نفسها و هو ما يلاحـظ في الصورة أعلاه ..


ليبقى المدار في مواجهة الشمس بنفس الزاوية طيلة السنة يجب على العقد ان تنزاح نحو الغرب 360 درجة في 365.24 يوما ، مايعني ان ينزاح المدار يوميا بقيمة 0.985 درجة .. بارامترين أساسيين يؤثران على قيمة المداورة العقدية و هما : الميل المداري و ارتفاع المدار حسب العلاقة التاليـة


d488d7ae45f5d9a4a585d395ec638ccfe1308311


641f395e9d9e25fd86eb4c87fab11dd177179032


للإشارة فالعلاقة أعلاه تمثل طرفا واحدا فقط من طرفي تغير موضع العقد المدارية ففي الحقيقة ينضاف بشكل عام تغير متجهة الانزياح المداري e كما هو مبين في العلاقة الثانية لـΔω1 ، لكن دائرية هاته المدارات تجعل من التغير الاجمالي يقتصر على المداورة العقدية ..


تاثير المداورة يتناقص مع الارتفاع فعلى مدارات فوق 1500 كلم يكون مفعولها شبه مهمـل على المدى القصير ، كما ان ارتفاع المدار يحدد دور المدار T و منه تحديد عدد اللفات في اليوم ،لأنـه للحصـول على قيمة 0.985 درجة يوميا اللازمة للحصول على تزامن شمسي ينبغي توزيع الانزياح على كل لفة يقوم بها القمر ..


و مثالا على ذلك نأخذ قمـر Spot 5 الفرنسي ، هذا القمر يدور على علو 800 كلم و بالتالي فإنه ينفـذ 14.3 لفة في اليوم


هذا يعني أن عليه الانزياح 0.069 درجة في كل لفة و هو ما يفسر قيمة ميلـه المداري المكافئ لـ 98.7 درجـة ..


بعض من اقمار SSO لها مرور بالعقدة النازلة في 12 من الظهيرة بالتوقيت المحلي عند خط الاستواء حيث تنتقل في حوالي 55-40 دقيقة بين منتصف النهار و منتصف الليل في الجهة الاخرى للكرة الارضية
بينما نجـد العديد منها تندرج ضمن اقمار التجسس الشفقيـة بمعنى انها تمر دائما في فترة الشفق و تبقى بشكل مستمر في مدار بين الليل و النهار .. أقمار كهذه يكون بعضها مخصصا للرصد الراداري حيث انها اقمار شرهة الاستهلاك و التواجد بمقابلة الشمس بشكل مستمر يوفر لها التغذية الطاقية اللازمة للعمل ، اقمار اخرى تعتمد مراقبة و تحليل صور بنمط اضاءة بشدة و زاوية ضئيلة تستفيد من هذه المدارات ، كما ان الاقمار الحاملة للتجهيزات الحساسة مثل اجهزة القياس الفيزيائية المعقدة تعتمد على مثل هذه المدارات كونها تعفي القمر من الانتقال من الجانب المظلم نحو الجانب المشمس و ما ينتج عنه من فارق مهول في درجات الحرارة و بالتالي يؤثر على فاعلية القياسات و عمر اشتغال الاجهزة مع مرور الوقت رغم العزل الحراري للاقمار الصناعية ..


HEO (Ex : Tundra & Molniya)


HEO High Eccentricity Orbits ، هي مـدارات لها ميزة التوفر على انزياح مداري كبير يمكنها من الاستجابة لمتطلبات معينـة لا تتيحها الانواع الأخرى من المدارات حيث تستخدم للاتصالات و حتى للتجسس احيانا لكن بمبدأ و أسباب مختلفة عما سبق، و من اشهرها مدار Molniya

NASA_molniya_oblique.png


تاريخيا واجـه الاتحاد السوفياتي إشكالية مـع تغطية كامل ترابه بأقمار الاتصالات على المدار الأرضي التابث ، فـنسبة مهمة من اراضيه تقع فوق خط العرض 70 و هي منطقة يصير فيها ارسال اقمار المدار التابث سيئا أو غير متاح أصلا .. إضافة الى هذا فالاتحاد السوفياتي و حاله حال العديد من دول الشمال لا يملك قواعد استوائية للإرسال الى GEO بـأقل كلفة طاقية..


هـذه الإشكالية دفعت مهندسي الفضاء السوفييت إلى ابتكار حـل يعتبر مستعملا لحد الآن من طرف عدة دول شماليـة ، الحل يتجلى في استخدام مدار اهليلجي بانزياح مداري عال ، بـدور T يمثل أحد قواسم اليوم الفلكي و بميل مداري محدد يجعل معدل تغير موضع الأوج صفـرا، فتـم اطلاق القمر, молния 1-01 (البــرق) الأول ضمن سلسلة أقمارMolnya فـي 21 غشت 1965 على مدار سيحـمل دوليا اسمـه فيما بعد ..

Molniya.jpg



المـدار لـه أوج على علـو 39750 كلم و حضـيض بـعلو 600 كلم فقط ، دوره المداري هو بالتحديد نصف يوم فلكي أي 11س 58 د ، و ميلـه يعادل 63.4 درجة .. ما يعني انه يمر من اوجه مرتين في اليوم ..يتم الإطلاق حيث يكون أوجـه البعيد فوق الأراضي الروسية لغايـة مهمة و هي الاستفادة القصوى من سرعته المتدنية عند الأوج ، ما يعني بقاءه لمدة طويلة يوميا في الخدمة ( ما يقارب 8 ساعات ) قبل ان يأفل مجددا و يصل الى الحضيض حيث يمر سريعا (قرابة 10 كلم / ثانية ) ثم يعاود الصعود الى الأوج ، قمر واحد لا يمكنه الخدمة فوق الأراضي الروسية على طول اليوم الشيئ الذي يعني ان 3 أقمار بمدارات متكافئة يفصل بينها 8 ساعات قادرة على ضمان ارسال مستمر .. دوره المقدر بنصف يوم يجعل من الأوج الثاني فوق الأراضي الأمريكيـة و الاسكا مــا جعل السوفييت يستخدمون هذا النوع من المدارات لغرض اضافي آخر هو التجسس و استشعار اطلاق الصواريخ البالستية الامريكية إبان الحرب الباردة ..

ميله ايضا مدروس بشكل دقيق فالاختلالات المدارية تجعل موقع الأوج يتغيــر مع الوقت و هو ما ينبغي تلافيه حتى تبقى الأقمار تصل الى اوجها في مكان معين فوق البلد المالك للقمر ، فحسب معادلة تغير موضع الأوج التالية :

0d62f06413f521a8262b2a10f7d492b0499b1733



نجد ان قيمة التغير تنعدم عندما يصير 5/4sin^2(i)-1 =0



و منه نجد ان قيمة الميل i اللازمة لمنع التغير هي 63.4 درجة ( 116.6 ايضا حل للمعادلة لكنه ميل غير مناسب ) .. و هي درجة الميل نفسها التي تتخذها مدارات Molniya ..


استخدام هذا النوع من المدارات ليس مقتصرا على السوفييت ، فالامريكيون أيضا يعملون به في تشكيل أقمار الاتصال Sirius و كـذا أقمار التجسس الأمريكية Trumpet


مدارات Tundra أقل استعمالا فهي من نفس فئة المدارات ذات الانزياح المداري الكبير لكنه يبقى اقل من الفئة مولنيا .. بـدور مداري يكافئ 23 س 56 د ما يجعلها مدارات ارضية متزامنة GSO اي انها تنفذ لفة واحدة كل يوم، و تصل الى الأوج مرة واحدة يوميا و فوق نفس المنطقة دائما .. محور الاهليلج الأصغر b لها أكبر من مدارات مولـنيا و تحديدا 24500 كلم بينما مدارات Super Tundra 18000 كلم .. ما ينعكس على اسقاط مسارها على الارض




أقــمار التمـوقـع الفضــائي Global Positionning System GPS (النظام الامريكي كمثال )

GPSsatellites.jpg




نظام التموقع الفضائي الأمريكـيGPS هو نظام مؤلف حاليا من 31 قمر NAVSTAR في الخدمة تدور في 6 مدارات شبه دائرية بميـل 55 درجة و على ارتفاع 20 الف الى 20500 كلم ، دورها المداري يعادل نصف يوم فلكي 11 ساعة و 58 دقيقة ، في كل نقطة من الكوكب تكون 7 الى 9 اقمار دائما قابلة للرصد .. اول قمر تم ايصاله للمدار عبر صاروخ Delta 4 عام 1978 لتتوالى اجيال او بلوكات الأقمار الصناعية كالآتـي :


بلوك 1 : و هي 11 قمرا الاولى التجريبية و تم اطلاقها بين 1978 و 1985 ، من انتاج Rockwell International و عمرها العملي بين 5 و 7 سنوات .. حاليا لا يوجد أي قمر من البلوك 1 في المدار..


بلوك 2 : بلوك 2 و تطويراتها اللاحقة هي الاقمار العملية للنظام ،دفعة اولى من 9 أقمار تم اطلاقها بين 1989 و 1990 لتلتحق بها 19 قمرا من الفئة Block 2 A ما بين 1990 و 1997 تتوفر على 4 ساعات ذرية من الروبيديوم و السيزيوم اكثر دقة و امكانية البقاء فترة طويلة دون تصحيح معطيات التوقيت من المحطات الارضية ..


بلوك 2 R : نسخة مطورة من السابقة ، تم اطلاقها الى مداراتها ما بين 1997-2009 بعدد 21 قمرا 20 منها في الخدمة حاليا .. يملك كل قمر 3 ساعات ذرية من الروبيديوم و امكانية تواصل مع الاقمار الاخرى في المدارات .. 8 منها تبث ارسالا على الموجة الحاملة الاحدث L2C المدنية و الارسال المشفر العسكري M .. ما يجعلها توفر دقة تصل الى 10 امتار للاستعمال المدني و 4 امتار الى 1 متر احيانا للاستعمالات العسكرية ..


بلوك 2 F : 10 اقمار من صناعة Boeing دخلت الخدمة عامي 2010/2011 ، يمكنها اضافة للموجات السابقة العمل على الموجة L5 المدنية ..


مبــدأ عمل النظــام :


يقوم النظام بالبث أساسا على الموجتين الحاملتين L1 & L2 للاستعمال المدني / العسكري باستعمال الكود المدني C/A Coarse Aquisition و الكود المشفر P(Y) للاستعمال العسكري و لبرامج البحث العلمية الحاملة لتصريح ، كما يوجد الكود المشفر M للاستعمال العسكري على اقمار بلوك 2 R/F و بلوك 3 ..


الكود المدني واسع الاستعمال C/A يتم تضمينه على الموجة L1 بتردد يكافئ 1575 MHz حيث ترسل معطيات التوقيت و تموقع القمر في المدار الى جهاز الاستقبال الأرضي للمستعمل ..


من خلال توصل جهاز الاستقبال بتوقيت الارسال المضمن داخل الرسالة و مقارنته بتوقيت الاستقبال يمكنه عبر ضرب الفرق في سرعة الموجة ( المعادلة تقريبا لسرعة الضوء) معرفة المسافة الفاصلة بين جهاز الاستقبال و القمر الصناعي ، قمر واحد لا يكفي إنما يجب التوفر على معطيات 4 اقمار صناعية مختلفة على الاقل و ذلك لحل معادلة التموقع و تقليص هامش الخطأ في التوقيت الناجم عن تأثير وسط انتشار الموجة الحاملة في طبقات الجو و كذا بقيمة اقل عن معدل الخطا في تعديل توقيت ساعات الأقمار لاختلاف المجال الثقالي اتفاقا مع نظرية النسبية العامة ..

معادلة التموقع تحل رياضيا عبر معادلة برانكفورت في التحليل العددي و التوفر على معطيات اقمار عدة ( عادة 8 اقمار ) تزيد من دقة النتائج كما ان التوزيع المتجانس للاقمار في سماء جهاز الاستقبال تعطي دقة افضل من حالة تواجدها في مخروط ضيق الزاوية من السماء فوق الجهاز ..


نــحو القمر :

800px-Apollo_15_flag%2C_rover%2C_LM%2C_Irwin.jpg

جيمس ايروين فوق القمر ، الرحلة ابولو 15


القمر أقرب جرم فلكي للأرض و يبعد عنها ما بين 363 الف و 405 الف كلم ، يدور حولها في مدار شبه دائري ، اهليلجي خفيف الانزياح و بدور يصل الى 27.25 يوما و بسرعة تصل الى 1 كلم / الثانية .. كل حيثيات مداره و اطواره معروفة جيدا منذ مئات السنين ، لذلك فالعوامل المؤطرة لارسال مسبار او مركبة نحوه تكون معروفة جيدا و منها عاملان اساسيان :

- السرعة النهائية الواجب اعطاءها للمسبار للدخول في مدار اهليلجي شديد الانزياح يصل أوجـه الى مدار القمر و يقطع مساره ( وهي الطريقة الابسط و الاقل تكلفة طاقيا)

- نافذة الاطلاق و الوقت المستغرق للرحلة و التي ينبغي الارسال فيها و ذلك للتاكد ان القمر سيكون هناك عندما يصل المسبار الى اوج مداره الاهليلجي ..

بسرعة 10.96 كلم / ثانية يكون لنا مدار اهليلجي له اوج على بعد 380 الف كلم و رحلة تستغرق بضعا و ستين ساعة ، اما عند سرعة الافلات الارضية 11.11 كلم / ثانية فالوقت يتقلص الى 36 ساعة فقط ، في حين يصل وقت الرحلة الى 12 ساعة عند سرعة نهائية تقارب 12.61 كلم / ثانية .. فكما نرى تغير صغير في السرعة الممنوحة للمسبار يمكنه من تقليص مدة السفر بشكل ملحـوظ .

من المهمات الاولى نحو القمر هي اطلاق مسابير لـونـا السوفياتية .. لونـا 3 السوفياتية مثلا و هي اول جسم يصور لنا الوجه المخفي للقمر أطلقت نحو القمر في 4 اكتوبر 1959 بسرعة نهائية تصل الى 11.05 كلم/ثانية ، هذا يعني ان مسارها كان اهليلجيا بـأوج على بعد 450 الف كلم ، يوم الـ 5 من اكتوبر تبدأ الجاذبية القمرية بتغيير خصائص مدارها لتصل يوم 6 من اكتوبر بجوار القمر متخذة مدارا في مستوى مغاير و بأوج أبعد 468 الف كلم ، لكنها تنجح في اخذ 29 صورة في 40 دقيقة ، بعثت منها 17 صورة فقط لتكون اول مهمة تصوير ناجحة لوجه القمر المخفي و الذي لا يرى من الارض بفعل ان القمر يدور حول نفسه في 27.25 يوم أي في المدة نفسها التي يكمل فيها دورة حول الأرض ..

كــل جسم آت من اللانهاية يقع في سقوط حر على سطح القمر بسرعة 2.37 كلم / ثانية و هي سرعة الافلات للقمر ، بين المسافة أرض- قمر هناك نقطة حيث تكون جاذبية القمر هي المهيمنة او بالاحرى تبتدئ عندها فقاعة التاثير الثقالية للقمر و التي يمكن اعتبارها لا نهاية بالنسبة لــه و هي تتواجد على 9 أعشار المسافة من الارض نحو القمر ، كل جسم على حافة فقاعة التاثير القمري و بدون سرعة بدئية سيصطدم بالسطح بسرعة تقارب 2.37 كلم / ثانية ، إلا أن المسابير عند دخولها لفقاعة التاثير القمرية يكون لها سرعة بدئية تنضاف الى السرعة الممنوحة من قبل الجاذبية القمرية ..لهـذا نجد مثلا ان لونـا 2 و التي انسحقت على السطح وصلت اليه بسرعة 3.3 كلم / ثانية ..

للاستقمار على القمر وجب الوصول الى سرعة 1.67 كلم / الثانية على سطحه ، 1 كلم / ثانية على علو 1055 كلم ، و 0.75 كلم / ثانية على مدار 7 آلاف كلم ، ما يعني ان المسبار القادم من الارض سيكون عليه تقليص سرعته بدلالة ارتفاعه مع هامش خطا صغير جدا .. الاستقمار هناك يكون صعبا و يتطلب تعديلا اوتوماتيكيا للسرعة عبر التوفر على رادار لحساب البعد و نظام حاسوبي متطور و جايروسكوبات و محركات دفع عكسي موصولة بالحاسوب لتعديل السرعة و الاتجاه ، فجاذبية الشمس و الارض تبقى قوية حتى داخل فقاعة التاثير القمرية و هذا ما يجعل الاستقمار لا يدوم لاكثر من بضعة دورات .. هذه كانت من اسباب فشل المسابير الأولى من طراز Pionier الامريكية و سلسلة Luna .. الى غاية العام 1966 حيث تمكن Luna 10 من احراز السبق و دخول مدار الاستقمار في 3 ابريل 1966 ، ليكون بذلك اول مسبار بشري يستقمر على القمر و يأخذ معطيات تغير المجال الثقالي القمري اضافة الى معطيات المجال المغناطيسي و النشاط الاشعاعي للسطح ..

للهبوط على القمر بسلام ينبغي ملامسة سطحه بسرعة منعدمة او مقاربة للصفر حتى لا ينسحق او يتضرر المسبار الفضائي ، عدم وجود غلاف جوي للقمـر يجعل من الضروري إنقاص سرعة المكوك عبر استعمال محركات عكسية ، و لأن معامل الكتل البدئية / النهائية يكون منخفضا في هذه الحالة فتلك المحركات عليها ان تكون اقوى ، فبالنسبة للونـا 9 اول مسبار يحط بنعومة على سطح القمر في 3 فبراير 1963 كان على محركاته العكسية انقاص سرعته من ما يزيد عن 3 كلم / الثانية الى 0 .. و اذا افترضنا سرعة نفث تصل الى 2.5 كلم / ثانية فسنجد عبر معادلة تسيولكوفسكي معامل كتل = 4 ..

بالنسبة لرحلات مأهولة كأبولو 11 و 14 و غيرها ستنضاف الى الكتلة الصامدة معدات دعم الحياة و الاوكسجين و الغذاء ، اضافة الى وقود العودة و الذي سيبقى ككتلة صامدة طوال رحلة الذهاب ، دون نسيان وجوب انتظار انفتاح نوافذ اطلاق للعودة و مناورات لتصحيح المسار و زاوية الدخول في الغلاف الجوي الارضي .. كل هذا يجعل رحلات كهذه اكثر تعقيدا و تطلبا و فيما يلي جرد لأبرز محطات الرحلات نحو القمـر :

5 اكتوبر 1959 ، لونا 3 السوفياتي يلتقط اول صور للوجه الخفي من القمر

3 فبراير 1963 ، لونا 9 يتمكن من الهبوط بسلاسة على السطح

3 ابريل 1966 ، لونا 10 أول مسبار يقـوم بالاستقمار في مدار حول القمر

20 يوليوز 1969 ، المهمة ابولو 11 و أول رائد فضاء فوق القمر ( نيل ارمسترونغ و باز الدرين)

19 نوفمبر 1969 ، المهمة ابولو 12 تحط على القمر مع الرائدين ( تشارلز كونراد و ألان بيـن)

5 فبراير 1971 ، المهمة ابولو 14 ، ثالث مهمة ماهولة ناجحة على سطح القمر ( ألان شيبارد و ايدغار ميتشيل)

7 غشت 1971 ، المهمة ابولو 15 ، المهمة المأهولة الرابعة ( ديفيد سكوت و جيمس ايروين)

21 ابريل 1972 ، المهمة ابولو 16 ، المهمة الماهولة الخامسة ( جون يونغ و تشارلز دوك)

11 ديسمبر 1972 ، المهمة ابولو 17 ، و هي المهمة الماهولة السادسة و الاخيرة نحو القمر ( يوجيـن سيرنان و هاريسون شميت)



المهمات نحو الفضاء الخارجي :


قبـل البـدء في هـذه الفقرة وجب التذكير بمفهوم و معادلة مهمة و هي معادلة الطاقة الميكانيكية لكل وحدة كتلة لجسم في مجال ثقالي و التي يعبر عنها كالآتي :


Є = V^2/2 – μA/r


و هي قيمة تابثة متعلقـة بالجرم المدروس حيث


є الطاقة الميكانيكية الكتلية J/Kg


V سرعة الجسم الموجود في مجال ثقالة الجرم الفلكي و r المسافة بينهما


μA التابثة الثقالية للجـرم


نلاحظ في التعبير أن μA/r و هي طاقة الوضع الثقالية يتم خصمها من الطاقة الحركية لوحدة الكتلة و بالتالي فإن є لا تكون موجبة دائما .. هناك في الواقع 3 حالات مختلفة :


1- є سالبة تعني ان الجسم يبقى مرتبطا بالجرم و منه يبقى مساره اهليلجيا في مدار حول الجرم


2- є =0 تعني ان الجسم في هذه الحالة يتبادل السرعة مع الارتفاع ويكون بمسار شلجمي ( حركة المقذوفات البالستية على الارض تدخل ضمن هذه الحالة)..


3- є موجـبة بما يعني ان الجسم له دائما اضافة من السرعة مهما كان بعده عن الجرم و بالتالي يتمكن من الافلات من جاذبية الجرم بمسـار هذلـولي Hyperbolic Path، و هي الحالة التي سنوليها اهتماما في هذه الفقرة ..


الســفر نحو كواكب المجموعة الشمسية أكثر تعقيدا من حيث قدرات الدفع و المعرفة الفلكية و الحسابات الهندسية فالسفـر عادة يمكن تقسيمه الى 3 او 4 مراحل حسب طبيعة المهام و هو كالتالي :

مرحلـة الإفـلات : و هي مرحلـة داخل فقاعة التاثير الثقالي للأرض، تدوم لأقل من يوم واحد.. يتم فيها الوصول بالمسبار الى سرعة إفلات على علو 200 – 280 كلم تكون اكبر من 11.2 كلم / ثانية ، و ذلك إما بشكل مباشر عبر المرحلة الاخيرة للصاروخ الحامل أو عبر محركات الدفع الخاصة بالمسبار بعد فترة من اللف في مدار انتظار مؤقت ..

من مميزات مرحلة الافلات :

- مسار هذلولي Hyperbola للإفلات
- معلم يتخذ من الارض مرجعا للسرعات و المسافات
- قوة ثقالية واحدة تؤخذ بعين الاعتبار و هي جاذبية كوكب الانطلاق (الارض كمثال)

المرحلة الشمسية المركزية : و هي بعد الخروج من فقاعة التاثير الثقالية للأرض و تعتبر الأطول من حيث المدة إذ يمكن ان تصل الى شهور او سنوات ، من مميزاتها :

- مسارها جزء من اهليلج

- معلم يتخذ من الشمس مرجعا للسرعات و المسافات

- جاذبية الشمس هي القوة الثقالية المسيطرة و المأخوذة بعين الاعتبار

- شعاع فقاعة تاثير الثقالة الكوكبية يكون مهملا بالمقارنة مع المسار الكبير للمرحلة


مرحلـة الدخـول :


المسبار هنا يمكن اعتباره قادما من اللانهاية نحو فقاعة تاثير الكوكب و بالتالي مسار الدخول هـو هذلـول بؤرته مركز الجرم، حيث تعود مميزات المرحلة للوضع الكوكبي ما يعني ان المرجع هنا هو الكوكب و قوة جاذبيته هي القوة المسيطـرة .. عند الاقتراب من حضيض الهذلول يجري المسبار مناورة لتقليص سرعته عبر محركات الدفع العكسية حتى يتمكن من البقاء في مدار حول الكوكب أو لكي يهبط على سطحـه ..


تحليــل المراحــل :


عند الافلات


لنفترض تواجـد المسبار على مدار انتظار و لتـكن Vc سرعتـه الخطية على المدار و لتكن V0 سرعة الخروج من مدار الانتظار نحو المسار الهذلـولي للافلات ، و r0 الشعاع نحو مركز الارض في الصورة اسفله r0=OP

مشاهدة المرفق 61897
للخروج من الجاذبية الارضية وجب الحصول على سرعة V0 اعلى من سرعة الافلات المعبر عنها كالآتي :


16081811003121956914438069.jpg

و بالتالي القيام بمرحلة دفع تكافئ القيمة ΔV اللازمة :

16081811020121956914438072.jpg


المسبار يبتعد عن الارض حتى الخروج من فقاعة تاثيرها متخذا مسارا يؤول الى المقارب الهذلولي في ما لا نهاية ، ما يحدث ان سرعته تتناقص منV0 الى خارج فقاعة التاثير لتتبث بعد ذلك على قيمة تسمى السرعة في ما لا نهاية V ∞
و التي تحسب بالعلاقة التالية :

16081811070021956914438073.jpg

كما أن اتجاهها هو اتجاه المقارب الهذلولي و الذي تحدده الزاوية β كما هو مبين في الشكل حيث cos β = 1/e حيث e =excentricity الانزياح المداري للهذلـول و الذي يمكن اعتباره اهليلجا لانهائيا عندما تكون قيمة e > 1 .. كما راينا فوق في الحديث حول الأقمار فقيمة e تحددها السرعة المكتسبة على المدار عند بداية المناورة و بالتالي فان قيمة و اتجاه V ∞ يتعلق بشكل اساسي بالسرعة V0 في اول مناورة الافلات ..

عند المرحلة الشمسية المركزية :


يتم هنـا اهمال شعاع فقاعة التاثير الارضي بالنسبة للمسافة ارض- شمس ، و بما أن المرجع هنا هو الشمس فالسرعة بالنسبة لهـا Vos هي تجميع متجهي لسرعة الارض ( او الكوكب عموما) حول الشمس مع سرعة اللانهاية للمسبار كالتالـي :

16081811115521956914438083.jpg


في حالتنا هذه يكون الاقلاع من الارض و منه فـ Vp = Vt سرعة الارض في مدارها و التي تعادل 29.783 km/s ..

لزيارة كواكب أقرب للشمس ( الزهرة ، عطارد) يتم توجيه السرعة V∞ عند مرحلة الافلات عكس اتجاه سرعة دوران الارض حول الشمس ( الجداء السلمي للمتجهتين سالب عموما) و بالتالي فسرعة المسبار/ الارض تخصم من سرعة الارض و يتمكن المسبار من " الهبوط" نحو مدار شمسي اخفض ، أما في حالة "الصعود" فتكون متجهة V∞ بنفس اشارة متجهة دوران الارض و بالتالي فسرعة المسبار تنضاف لسرعة الارض ليتمكن من الوصول لكواكب أعلى ( مريخ ، زحـل ..الخ) .


بالنسبة لزاوية الاطلاق فعموما تتخذ متجهـة V∞ زاوية ᴪ مع متجهة سرعة دوران الارض حول الشمس و التي بدورها تمكن من أعطاءنا قيمة زاوية الاطلاق ᵞos كما هو موضح تاليا :


مشاهدة المرفق 61898


16081811171321956914438124.jpg

-----------------------


مشاهدة المرفق 61899
الصورة التالية توضح لنـا مسار المسبار باللون الاحمر ، مدار الأرض بالازرق و مدار الكوكب باللون الاسود .. هند وصول المسبار الى الكوكب تكون سرعته Vs1 بينما الزاوية 1s ᵞ هي الزاوية التي يكونها التقاطع بين سرعة الكوكب و سرعة المسبار و هي قيم يمكن حسابها بسهولة كالتالي :

16081811252321956914438158.jpg



المعادلة 1 هي معادلة انحفاض الطاقة الميكانيكية و تعطينا قيمة Vs

المعادلة 2 هي تابثة المساحات و التي تاتي كترجمة لانحفاض العزم الحركي حسب قانون كيبلير للمساحات

المعادلة 3 تعطينا السرعة V∞1 و هي سرعة الوصول بالنسبة للكوكب و التي تعتبر كسرعة دخول الى فقاعة التاثير الثقالي

بالنسبة للمسار هنا فهو جزء صغير من اهليلج يصل اوجـه الى ابعد من مدار الكوكب و بالتالي فوصول المسبار له يكون قبل بلوغه الاوج ، كما ان متجهة السرعة حول الشمس ليست مستقيمية مع متجهة سرعة دوران الارض.. لـذا فاطلاق بهذه المواصفات يمكن من الوصول الى الكوكب في وقت قصير نسبيا لكنه يستوجب صرف طاقة اكبر مع فرق سرعة ΔV كبير في مرحلة الدفع قرب الارض .. بالنسبـة للاطلاق الاكثر اقتصادية فإن علينا العودة للمدارات من فئـة Hohmann لكن هذه المرة حول الشمس كما هو مبين تاليـا :

مشاهدة المرفق 61900

مدارات Hohmann اقل تطلبا من الناحية الطاقية لكنها في المقابل تستلزم وقتا اطول للرحلات فالمسبار يكون عليه الذهاب لنصف محيط الاهليلج الذي حضيضه الارض و أوجه الكوكب المنشود ( في حالة الصعود نحو الكواكب العليا ) ، كما يستلزم الامر دراسة دقيقة لمسار الكوكب و دوره المداري حول الشمس و تموضعه لحظة الاطلاق ( الامر مشابه لفقرة الموعد المداري الذي سبق شرحه في الموضوع) ما يعطي للمريخ مثلا نافذة اطلاق واحدة كل 2.137 سنة و تكون معطيات الرحلة كالآتي :


سرعة الاطلاق عند علو 422 كلم من الارض V0 = 11.22 km/s


سرعة خروج من مجال تاثير الارض : V∞ = 2.94 km/s


السرعة الشمسية المركزية للخروج : Vos = 32.73 km/s


مدة المسار Hohmann : 259 يوم



عند مرحلـة الدخـول ، المسبار يخترق فقاعة التاثير للكوكب و التي بالمقاييس الكوكبية يمكن اعتبارها امتدادا لا نهائيا و بالتالي فـمسار الدخول يكون عبر فرع هذلولي ، سرعة الدخول لمجال الكوكب الثقالي تكون اكبـر من سرعة الاستقمار حول الكوكب مـا يعني ان المسبار يكون لـه عدة خيارات حسب المهمة الموكلـة لـه :

1- دراسـة طويلة للكوكب : تستوجب دخولا الى مدار اهليلجي او دائري عبر استعمال محرك عكسي لتخفيض سرعة المسبار بالنسبة للكوكب حتى الوصول لسرعة الاستقمار على المدار المقرر ، مناورة انقاص السرعة تتم عادة على مستوى حضيض الهذلول ..

2- دخول للغلاف الجوي : في حال وجوده على الكوكب يستعمل الغلاف الجوي لتخفيض السرعة عبر الاحتكاك بحيث يتم اختيار زاوية دخول توفر حضيضا هذلوليا منخفضا.. و بالتالي يمكن للمسبار الهبوط على الكوكب دون خسارة كبيرة للطاقة من محركاته العكسية ..

3- الترامبولين الثقالي : يتم الدخول نحو مجال تاثير الكوكب دون تنفيذ أي فرملـة و بالتالي يستمر المسبار في مساره نحو حضيض مرتفع الى غاية الخروج من الفرع الهذلولي الآخر نحو النظام الشمسي مجـددا .. ما يحدث من حيث المبدأ هو استعمال جـاذبية الكوكب لإعطاء المسبار فرق سرعة اكبر بالنسبة للشمس و تغيير متعمد لمتجهة سرعته بغيـة التقليص من الوقود المستعمل و كذا استغلال الظاهرة لتمكين المسبار من بلوغ مديات بعيدة جدا لم يكن يستطيع بلوغها بـدفعه الخاص عبر الطريقة التقليدية ..
مشاهدة المرفق 64699

بداية الامر يقترب المسبار من الكوكب حتى يدخل في فقاعة تاثيره بزاوية دخول مدروسـة مسبـقا ، حيث تزداد سرعة المسبار لتصل الى اقصاها عند حضيض الهذلول لكنه يعود ليبتعد و يخسر سرعته وصولا الى حافة الخروج من فقاعة الكوكب لتعود الى قيمتها الاولية عند الدخول ، في الأخير و بالنسبة لملاحظ من الكوكب فإنـه سيرى المسبار يتخذ مسارا هذلوليا و سيـلاحظ ان سرعة دخوله مجال التاثير هي ذاتها سرعة خروجه لكن متجهتها تغيرت ، لكن و للمفارقة فان المسبار اكتسب سرعة اضافية ، نحن نتكلم هنا عن السرعة بالنسبة للشمس عند الخروج Vs2 و التي كما مبين في الصورة اعلاه اصبحت اكبر من Vs1 عند الدخول بالنسبة لهذا المثال الذي يوضح عملية زيادة في السرعة .. هـذا الأمـر لا يستخـدم لزيادة السرعة فحسب عبر مرور المسبار خلف الكوكب ، بل ايضا لتقليصها عبر مروره من أمامه .. بالمجمل فرق السرعة الممنوح من هذه المناورة يحسب عبر العلاقة التاليـة :

ΔV = 2 V∞1.cos β

V∞1 سرعة الدخول الى فقاعة التاثير و هي تساوي سرعة الخروج منها V∞2 ..

β نصف الزاوية بين الفرعين اللانهائيين للمسار الهذلولي ..

المسـاعدة الثقالية او الترامبولين الثقالية مستعملة منذ اول المسابير العابرة للمجموعة الشمسية و اشهرها فويـجر 1 و فويجر 2 .. هذا الأخير و الذي اطلق في 20 غشت 1977 استغل المساعدة الثقالية لكل من المشتري و زحل و ارانوس و نيبتون و هو حاليا خارج الهيليوسفير و هو مجال تاثير الرياح الشمسية منذ 2007 و بالتحديد على بعد حوالي 84 وحدة فلكية ( 84 ضعف المسافة المتوسطة بين الشمس و الارض) .. مسبار كاسيني الامريكي-الاوروبي قام باستغلال المساعدة الثقالية على عدة مراحل فقد اطلق في اكتوبر 1997 و وصل اخيرا الى هدفه و هو مدار كوكب زحـل عام 2004 .. قام المسبار بمرور مدروس نحو الزهرة لترمي به نحو مدار الأرض مجددا التي اعطته دفعا ثقاليا اضافيا ثم الى المشتري و اخيرا نحو زحــل.. هذه المناورة كلفته زيادة في مدة السفر بـ 0.7 سنة مقارنة بمدار هومان مباشر نحو المشتري لكنها وفرت عليه فرق سرعة يصل الى 2 كلم / الثانية .. فلبلوغ زحــل دون مساعدة ثقالية كان على المركبة الوصول الى 15.6 كلم / الثانية عند اخر مرحلة للدفع و هو ما ليس متاحا حتى مع اقوى الصواريخ ..
444px-Cassini_interplanet_trajectory.svg.png




--------------- انتهـى ---------------


هــذا العمــل مجهود شخصي و موضوع حصري لمنتدى الدفاع و التسليح
الكــاتب : Ibn zyad
بارك الله فيك و جعله في ميزان حسناتك وزادك من علمه و نفع بك الامه و اذال عنك الغمه وانعم عليك بالصحه و رزقك من حيث تحتسب ولا تحتسب
 
جزاك الله خيرا على الموضوع فهو موضوع أكثر من رائع و يمثل مجال جديد يضاف لمجالات الكتابة فى المنتدى. يعتمد المجال على نشر الوعى و الإدراك لفهم العلوم الأساسية من رياضيات و فيزياء و كيمياء و فلك محيطة بالتكنولوجيا و الصناعات العسكرية. و سأعاود قرأته مرة أخرى بالتفصيل لكنى اليوم مجهد للغاية و مريض بنزلة برد فأسالكم الدعاء لى بتمام الصحة و العافية.
 
عودة
أعلى